False Freedom
Online Censorship in the Middle East and North Africa
About this Report
This report was researched and written by Elijah Zarwan, a consultant for Human Rights Watch. Eric Goldstein, a senior researcher in Human Rights Watch's Middle East and North Africa Division, Hadi Ghaemi, Human Rights Watch's Iran researcher, Joe Stork, Washington advocacy director for the Middle East and North Africa Division of Human Rights Watch, Dinah PoKempner, Human Rights Watch's general counsel, and Joe Saunders, Human Rights Watch's deputy program director, edited this report and contributed research.
Gamal Eid provided exceptional assistance in researching the report, particularly the chapter on Egypt, and provided the title. Among the many others who provided invaluable research assistance were Fred Abrahams, Abeer Allam, Derek Bambauer, Robert Guerra, Eri Kaneko, Nagwa Hassan, Bennett Haselton, Abdolreza Mazaheri, Robin Moger, Nicholas Noe, Julien Pain, Jagdish Parikh, Mark Seiden, Kristina Stockwood, Maha Taki, Lubna Takruri, Sudhin Thanawala, Sarita Tukaram, Nart Villeneuve, and Ethan Zuckerman.
This report is dedicated to the writers and activists who spoke to Human Rights Watch in the course of the research that went in to it, often taking great risks to do so.
Summary
The speed with which the Internet has spread throughout the Middle East and North Africa testifies to the region's appetite for alternative means of getting and transmitting information. In countries where the press is rigidly controlled, the Internet has opened a window for greater freedom of expression and communication. Anyone with access to a computer, an Internet connection, and "blogging" tools can now publish to a potential audience of millions, free of charge, within minutes. Faced with this new technology, many regional governments have pursued contradictory policies. With varying degrees of enthusiasm, they have sought to facilitate the spread of information and communications technologies with economic benefits in mind. At the same time, they have sought to maintain their old monopolies over the flow of information.
In a Tunisian Internet café, not far from where the second phase of the World Summit on the Information Society is being held in November 2005, there hangs a portrait of President Zine El Abidine Ben Ali. This is not remarkable in itself: similar portraits hang in nearly every business in Tunis. But in this Internet café a sign posted immediately beneath the president's likeness reads: "Opening disk drives is strictly forbidden. Do not touch the parameters of the configurations. It is forbidden to access prohibited sites. Thank you." These "prohibited sites" include those the government blocks for publishing reports of human rights abuses in the country or criticizing the president.
The dilemma governments perceive in responding to the Internet is evident on this wall. The café exists thanks in part to the Tunisian government's investment in fostering information technology. The restrictions speak to the Tunisian government's desire to control information. Governments realize that they cannot live without the Internet, that to shut the country out from the World Wide Web would be to close the country to the world economy. But to one degree or another, they have also sought to control the uses of this technology.
This report examines Internet trends and policies in the Middle East and North Africa region as they affect freedom of expression, focusing particularly on Egypt, Iran, Syria, and Tunisia. Human Rights Watch selected these four countries for closer scrutiny as much for their differences as for their similarities, and their inclusion should not suggest that their policies are worse than those of other countries in the region. For each of the featured countries, Human Rights Watch examines government policies affecting Internet access, the role the Internet has played in fostering freedom of expression and civil society, laws restricting free expression, online censorship, and cases in which people have been detained for their online activities.
In countries such as Iran and Egypt, where the government began licensing private Internet service providers (ISPs) and network service providers earlier than in other countries in the region, the use of the Internet-including the use of the Internet to report news or express opinions-has grown more quickly than it has in countries such as Syria and Tunisia, which initially sought to limit the number of ISPs. In Egypt, the early entry of smaller, private ISPs that promised their customers unfiltered access to the Internet reportedly prompted the government to stop blocking hundreds of Web sites.
As this report went to press, soon after Syria's "first privately owned ISP" started offering less-restrictive service, one Syrian computer programmer reported that at least one of the old, government-affiliated ISPs had lifted restrictions on protocols used to build Web sites, perhaps in a bid to keep its customers from moving to the new, less-restricted ISP. Perhaps, as Tunisian Minister of Communications Technology Montasser Ouaili recently suggested to Human Rights Watch, competition does stimulate free access to the Internet.
At the same time, all of the countries surveyed in this report continue to block Web sites for their political content or for other arbitrary reasons, and all retain and misuse vaguely worded and sweeping legal provisions to imprison Internet users for expressing unpopular or critical views. The following sketch of conditions in the region shows the broader set of problems.
Regional Overview
In Syria, the authorities censor information and correspondence with a free hand under the terms of emergency legislation promulgated more than forty years ago. The government tampers with the very fabric of the Internet, restricting the use of the basic electronic protocols that allow people to send emails and construct Web sites. Security forces have held online writers incommunicado and tortured them simply for reporting stories the government did not wish to see told. Despite these restrictions, Syrians continue to find new ways to circumvent online censorship and surveillance and have rapidly taken to the Internet as a means of getting news into and out of the country. "The Internet," one prominent Syrian human rights activist told Human Rights Watch, "is the only way for intellectuals to meet and share ideas in Syria today."[1]
In Iran, thanks in part to vigorous government investment, the number of Internet users has increased at an average annual rate of more than 600 percent for the past four years. Iranians "blog" to an extent unparalleled in the region. In 2004, the Iranian judiciary, relying on extralegal intelligence and security forces, began to target online journalists and bloggers in an effort to control this flourishing new medium. Iranian Web sites nevertheless continue to express opinions that the country's newspapers and other media would never run. The government has imprisoned online journalists, bloggers, and technical support staff. It has blocked thousands of Web sites, including sites that offer free publishing tools and hosting space for blogs.
Innovative Egyptian policies designed to promote Internet use-notably the country's "free" Internet program that allows any Egyptian with a computer, modem, and a phone line to browse the Web for the price of a phone call-have become models for developing countries around the world. Yet Egyptian security services have detained people for their activities online. In the past, the government used the Internet to monitor and entrap men engaged in homosexual conduct. The government blocks the Web site of the Muslim Brotherhood, arguably the country's largest opposition group, and online writers risk imprisonment under a vaguely worded press law and emergency legislation that criminalizes a wide variety of critical expression.
In Bahrain, the government has blocked some critical Web sites, although recent tests indicate that previously reported blocks on Web sites have been lifted.[2] Still, the government has sought to maintain control over the Internet by requiring all Web sites to register with the Ministry of Information under the pretext of helping to protect their intellectual property. An online bulletin board that remains popular despite government attempts to censor it, http://www.bahrainonline.org, and a site that parodies the ruling family, http://www.bahraintimes.org, remained blocked in Bahrain earlier this year.[3] Over the course of late February and early March 2005, Bahraini security agents detained `Ali `Abd al-Imam, Muhammad al-Musawi, and Hussain Yusuf, who moderated http://www.bahrainonline.org. Though they are now free, the three still face charges of "defaming the king" for allowing users to post criticism of the ruling al-Khalifa family on the site.
Saudi Arabia hesitated for years before allowing public Internet access in the country in 1999. In March 2001, eighteen months after it extended service to the public, the Internet Services Unit (ISU), the state institution charged with coordinating Saudi Internet policy, boasted that it had blocked more than 200,000 Web sites since opening service to the public.[4] Relative to other countries in the region, Saudi Arabia is forthright about its policies on and methods of blocking Web sites, listing them on the ISU's Web site.[5] Thousands of Web sites were consistently blocked in Saudi Arabia between 2001 and 2004.[6] The vast majority of these featured pornographic material or material related to gambling or drugs, but some-such as specific pages from Amnesty International's Web site criticizing human rights abuses in Saudi Arabia-were political. In October 2005, the ISU briefly blocked http://www.blogger.com, a service owned by Google that allows users to maintain blogs free of charge. Saudi bloggers report that http://www.flickr.com, a popular photograph-sharing Web site, remains blocked.[7]
In the United Arab Emirates, the sole Internet Service Provider (ISP), Etisalat, has long blocked Web sites containing pornographic, gambling-related, crime-related, gay- and lesbian-related material, as well as sites dedicated to the Baha'i faith, dating sites, and all sites whose addresses end in .il-i.e., sites based in Israel.[8] In July 2005, Etisalat blocked a blog for the first time, briefly censoring http://secretdubai.blogspot.com for containing "nudity"-though the site contains no images. The anonymous blogger who maintains the site told Human Rights Watch she believes the blog was blocked because she had reproduced a poem satirizing the Dubai police's request to tourists "not to violate the very fabric of society."[9]
The Libyan government has blocked critical Web sites based outside the country. When Human Rights Watch visited Libya in April-May 2005, researchers were unable to access Libya: News and Views (at the time http://www.libya1.com) and the UK-based Akhbar Libya (http://www.akhbar-libya.com), from two Internet cafés in Tripoli.[10] The editor of Akhbar Libya, Ashur Shamis, told Human Rights Watch that he believes hackers associated with the government crashed his site at least four times over the past three years, most recently on June 13, 2005. "They unpublished all the articles on the site and wiped out the archive material," he said. "They did a lot of damage to the database." Shamis said the reason for the online attacks has "always been something we published that hit a raw nerve with the Leader [Col. Mu`ammar al-Qaddafi] or the security people."[11] The site has published articles on the 1969 military coup-claiming that al-Qaddafi hijacked the coup with tacit U.S. approval-and a series of articles on corruption in al-Qaddafi's entourage.
Sites such as Akhbar Libya, Libya Our Home (http://www.libyanet.com), Libya Today (http://www.libya-alyoum.com), and Libya: News and Views (currently http://www.libya-watanona.com) provide debate forums on topics previously taboo. Articles and letters from Libya talk about issues such as unemployment and health care, and sometimes address human rights violations such as torture and police abuse.
On January 12, 2005, Libyan Internal Security agents arrested 52-year-old `Abd al-Razik al-Mansuri in his hometown of Tubruk.[12] Although ultimately charged with unlawful possession of a firearm (security agents found an old pistol and some bullets that belonged to his father during a search of his home the day after his initial arrest), al-Mansuri had written many articles critical of the government on http://www.akhbar-libya.com, a U.K.-based Web site.[13]
During an April-May 2005 mission to Libya, Human Rights Watch interviewed al-Mansuri in a private meeting in the Abu Salim prison director's office.[14] He said he had written between forty and fifty articles for http://www.akhbar-libya.com since 2004. "I study the Libyan people and life from all sides," he told Human Rights Watch. "Why a Libyan has a beard, why they are maybe scared by someone, and why it's not time for democracy in Libya." He added, "What we want for Libya is that it becomes a better place, even through writing."
Al-Mansuri published his last article on January 10, 2005, a critique of a debate between two government officials, one of whom, Shukri Ghanim, is a reputed reformer, and the other, Ahmad Ibrahim, is a reputed hardliner. Al-Mansuri expressed hope that al-Qaddafi would support the former.[15] On October 19, 2005, Akhbar Libya reported that a Tripoli court had sentenced al-Mansouri to one-and-a-half years in prison for the illegal possession of a weapon.[16]
* * *
With this larger regional perspective as backdrop, this report details the Internet policies of Egypt, Iran, Syria, and Tunisia as they affect the right to freedom of expression. As with our 1999 report on the same issues in the region, we offer a critique of existing practices as well as a set of principles to guide policy and legislation. In so doing, Human Rights Watch seeks to encourage governments to strengthen protection for freedom of expression at this critical juncture marked by rapid growth in Internet use throughout the region.
Recommendations
1)Governments should continue to invest in expanding access to the Internet. Money spent on improving networks should not be diverted to improving surveillance or censorship technology. All of the governments surveyed in this study have invested significantly in making information and communications technologies more widely available. They should continue doing so. As they do so, they should not divert funds to improve the means of censorship and surveillance. In Syria, for example, restrictions on the protocols used to publish to the Web and to send email have served only to slow the spread of the Internet. Such measures are counterproductive and do not work: determined users continue to find ways around government attempts to censor or spy on data traffic. Lowering barriers to access, be they technical, financial, or legal, will lead the Internet to become more decentralized and participatory.
2)Release all those imprisoned or detained solely for exercising their right to free expression, online or otherwise.Egypt, Iran, Syria, and Tunisia have detained dozens of online writers for their activities online in recent years. Iranian blogger Mojtaba Saminejad is still in prison for the contents of his blog. As of November 1, 2005, Syrian online journalist Muhannad Qutaish was still in prison for emailing articles to a Gulf-based newspaper, despite the fact that his sentence had expired. Mas`ud Hamid, a Syrian journalism student, risks continued torture in prison for posting photographs of a demonstration on the Internet. Tunisian online journalist Mohamed Abou is still in prison for publishing articles critical of Tunisian President Ben Ali. These and other prisoners detained for expressing their opinions or publishing information protected under international standards should be released immediately.
3)Cease intimidation and harassment of online writers.In Tunisia, online journalists who express critical opinions or report on human rights violations in the country are kept under constant surveillance. They believe their emails and phone calls are monitored and that people working on behalf of the government send them harassing emails to interfere with their ability to work and to intimidate them. In Syria and Iran, security agencies have regularly "invited" bloggers, online journalists, and their families to come in for questioning, or have phoned them regularly to intimidate them. Such practices chill freedom of expression.
4)Cease blocking Web sites that carry material protected by the rights to free expression and free information. Iran, Syria, and Tunisia extensively block Web sites for their political content. Fewer sites are blocked for their political content in Egypt, but the continued unavailability of the Web sites of prominent Islamist political parties, including the Muslim Brotherhood, stands in violation of the government's commitments to free expression. All such restrictions should be removed immediately.
5)Governments should provide strict legal guarantees ensuring the privacy of electronic communications. Governments should have authority to monitor email or other forms of electronic communication only when authorized by an independent court of law upon a compelling showing of genuinely criminal activity.Freedom from arbitrary and unlawful interference with one's privacy and correspondence is protected both under the Universal Declaration of Human Rights and the International Covenant on Civil and Political Rights and applies to electronic communications, including email and newsgroup postings, as well as electronic forms of personal data retained about individuals.
6)Governments should repeal laws that unduly abridge the right to privacy or the right to freely access or disseminate information or opinions. They should further seek to pass new laws that affirmatively protect these rights and clarify the narrow circumstances in which government interference would be warranted according to international standards.Sweeping,vaguely worded Egyptian, Iranian, Syrian, and Tunisian laws that criminalize "spreading false news," or criticizing the president, government officials, or the system of government abridge the right to free expression. In accordance with international standards, governments should seek to pass legislation that
a.Affirmatively protects the right of writers to advocate nonviolent change of government policies or the government itself;criticize the nation, the government, its symbols, or officials; and communicate information about alleged violations of international human rights and humanitarian law.
b.Removes unlimited liability from private ISPs or Internet cafés for carrying illegal content.
c.Permits the free use of encryption and other techniques to ensure the privacy of online communications. Law enforcement agencies should be allowed to decrypt private communications only after convincing an independent court of a compelling and particularized showing of need.
7)Allow free and unimpeded access to Internet cafés and Internet-connected libraries for all, and do not require such businesses to provide customer records without a specific court order based on a compelling and particularized showing of need.
8)Do not allow criminal liability for merely visiting Web sites, even those that may legitimately banned under international standards of free expression and information.
Note on Methodology
In 1999, Human Rights Watch sent a uniform letter containing questions about Internet policies to seventeen regional governments. The official responses to that query were reproduced and analyzed in Human Rights Watch's 1999 report, The Internet in the Mideast and North Africa.[17]
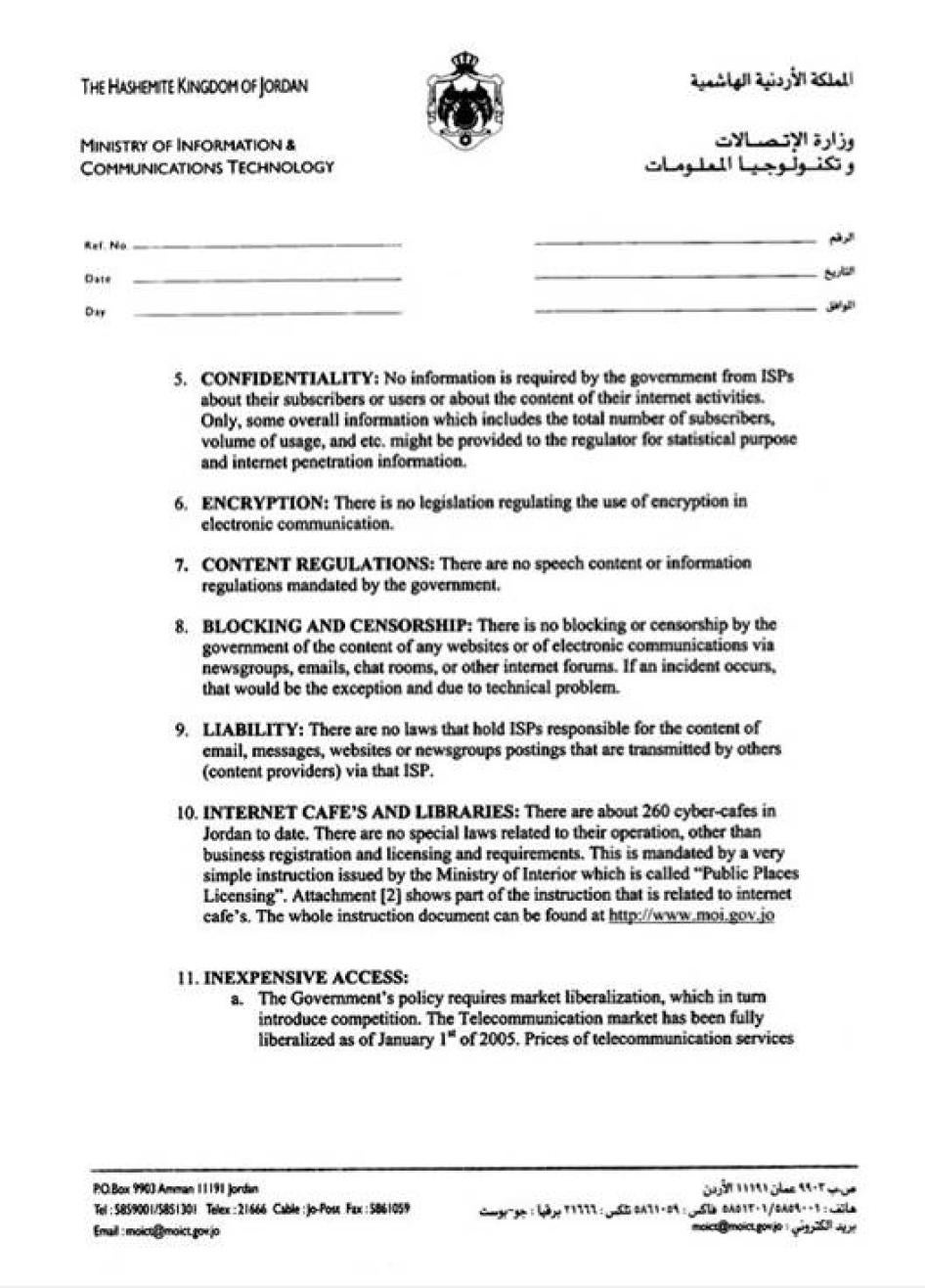
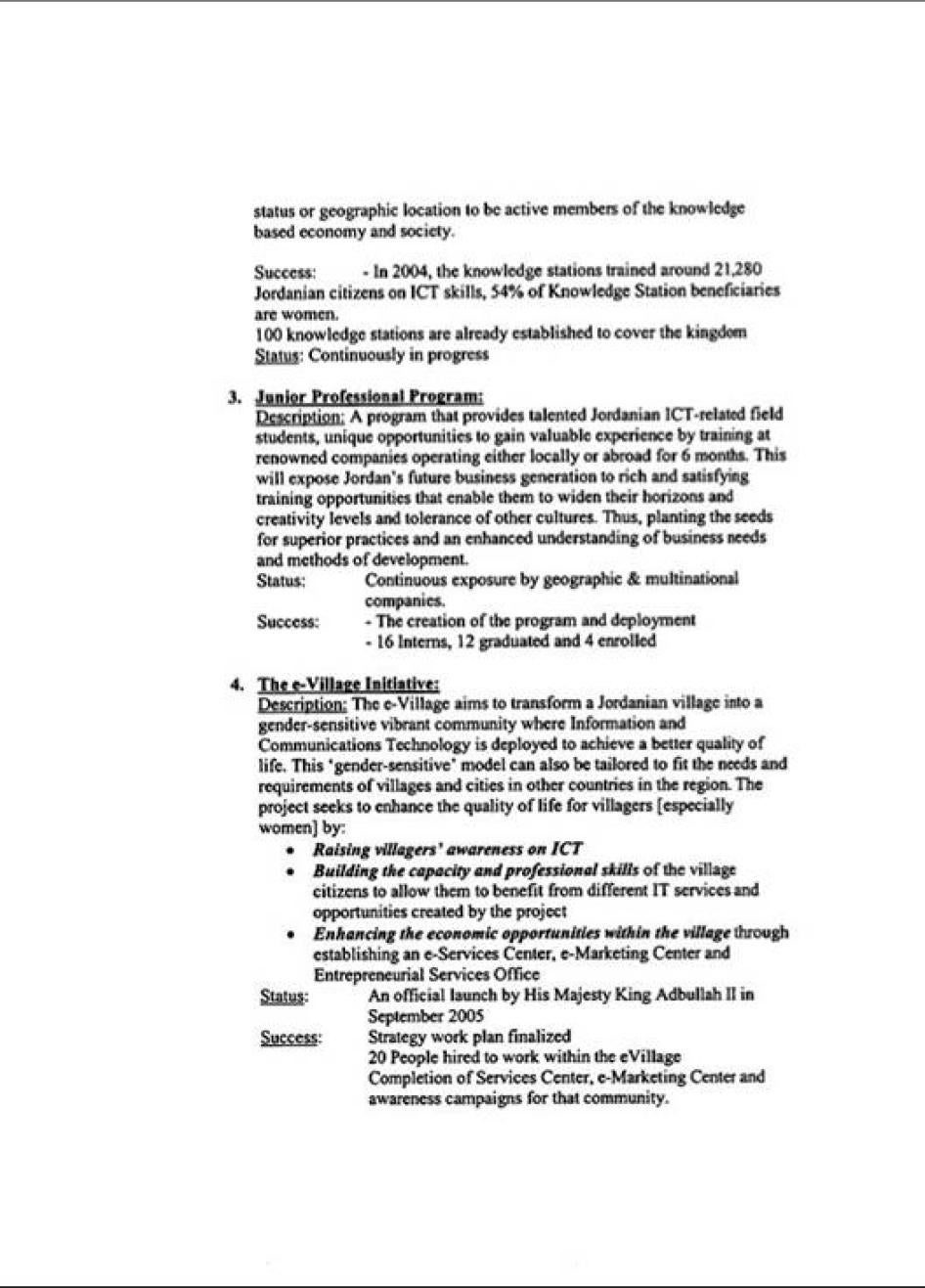
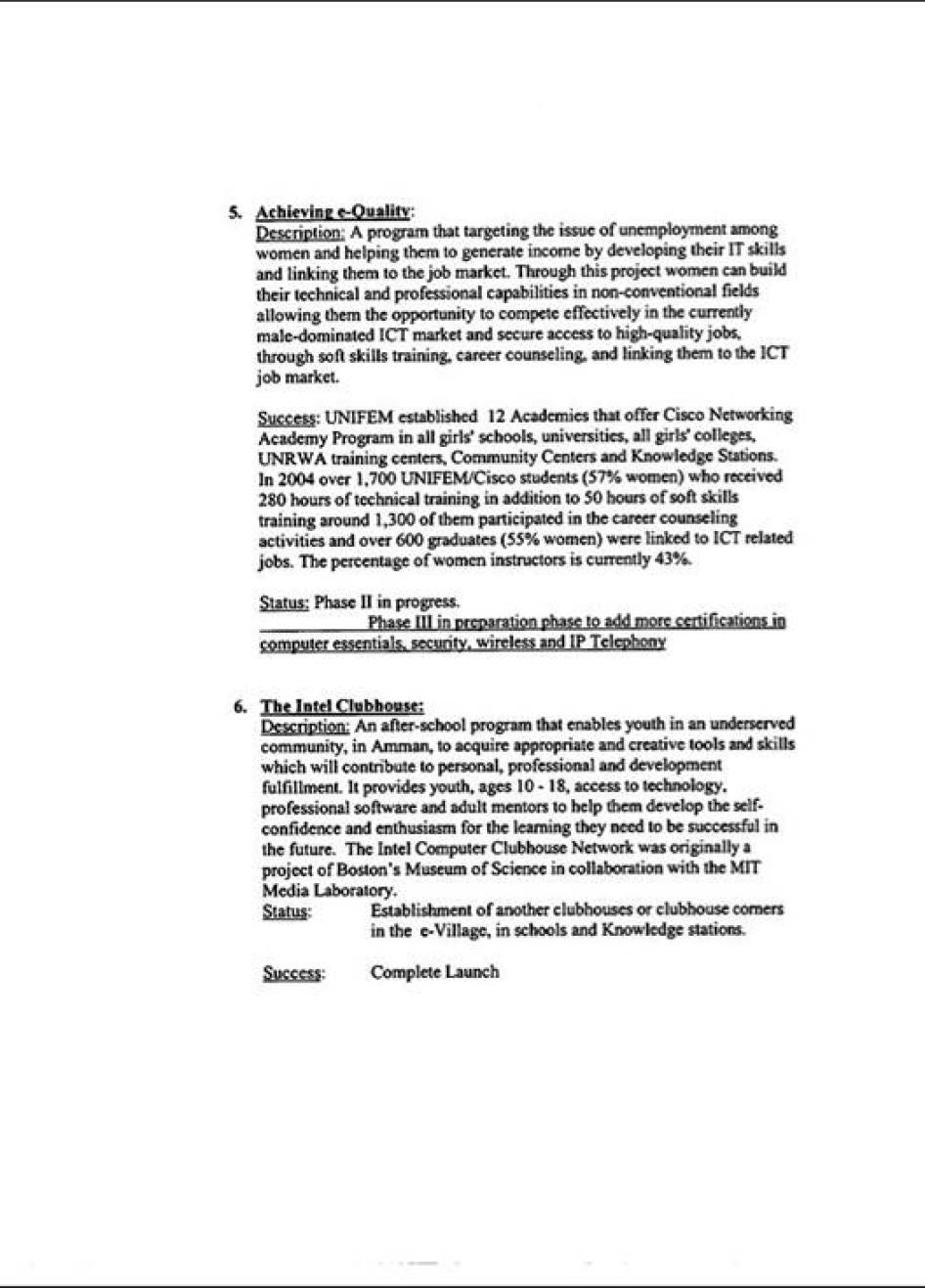
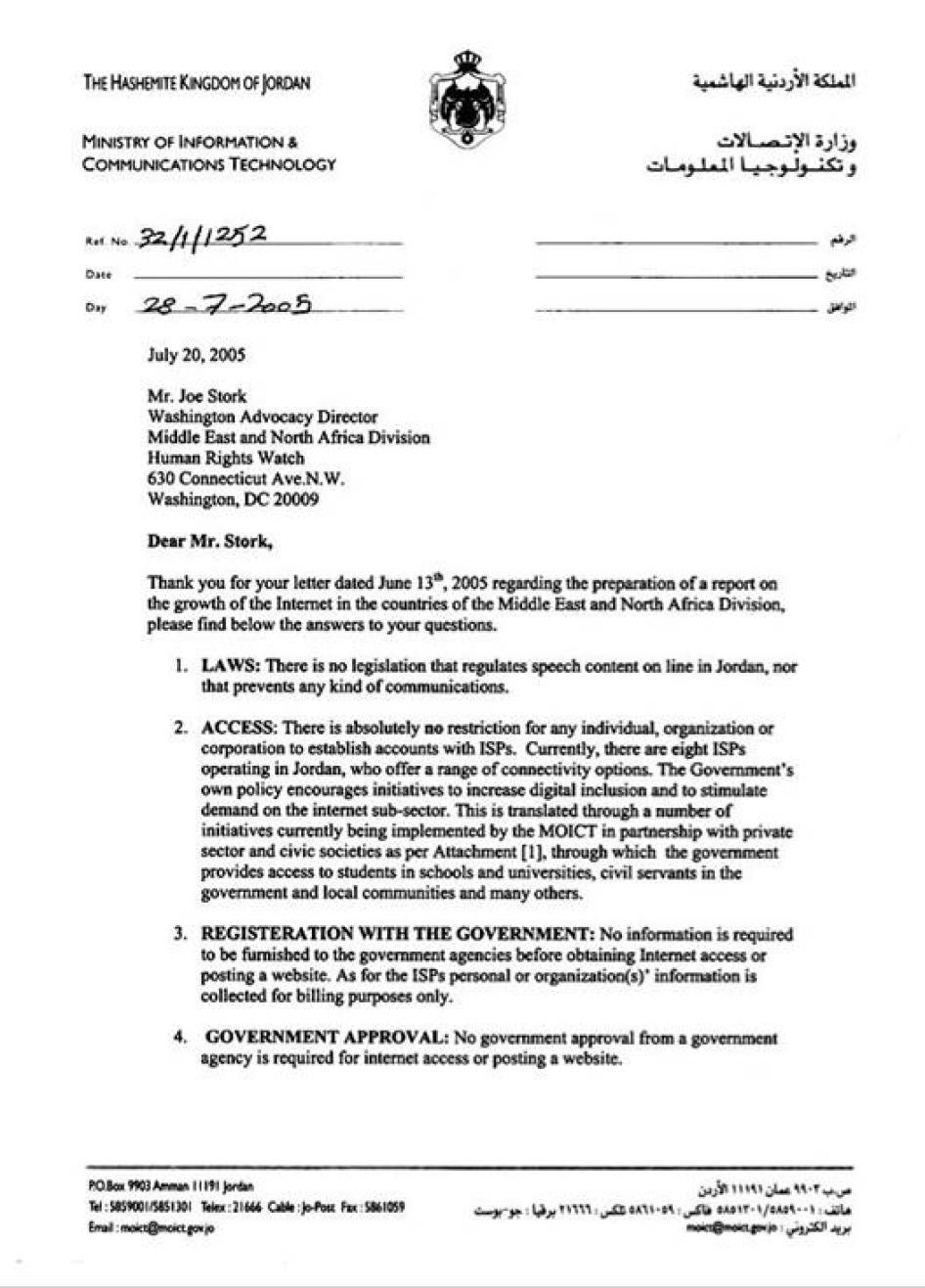
In preparing this current report, Human Rights Watch sent a similar letter (see Appendix A) to the governments of Bahrain, Egypt, Iran, Jordan, Saudi Arabia, Syria, Tunisia, and the United Arab Emirates. The governments of Egypt, Jordan, Syria, and Tunisia provided written responses, reproduced in Appendix B. The government of Iran directed Human Rights Watch to a Web site outlining some of its Internet policies. The government of Saudi Arabia acknowledged receipt of the letter but did not offer any further response. The governments of Bahrain and the United Arab Emirates did not reply.
Governments censor online communications either at the "international gateways" that link countries' networks to the broader Internet or through the countries' ISPs. In countries such as Saudi Arabia and the United Arab Emirates, where the only ISP is owned by the state, this is more easily accomplished. In countries where there are private ISPs, governments exert legal and extralegal pressure on ISPs to block sites.
Internet users employ an arsenal of tools to circumvent censorship that constantly evolves as governments implement countermeasures. In some cases, Internet users connect to the Web via ISPs in neighboring countries. Elsewhere, they browse via proxy servers located outside of the country. Where governments block access to these proxy servers, Internet users can use a variety of software tools that allow them to create a data "tunnel" directly to a Web server or to access the Internet via a constantly changing network of proxy servers. Such measures require a degree of technological proficiency and perseverance unusual even in places where the Internet has been available for longer. For most of the population, government censorship of the Internet seriously undermines the Internet's promise as an engine of free discussion and exchange among people worldwide.
Few countries that censor online information are willing to provide details of what they censor, or to disclose the criteria or the means by which they censor. Egypt, Iran, Syria, and Tunisia all censor online information to some degree. Local volunteers and researchers from Human Rights Watch and the Open Net Initiative (ONI)-a joint project of Cambridge University, Harvard University, and the University of Toronto dedicated to investigating and challenging state filtration and surveillance practices-used a methodology developed and refined by ONI over the course of several similar investigations of countries around the world.[18] Researchers first determined what happens when an Internet user tries to visit a blocked Web site from each country in question. Using software developed by ONI, researchers simultaneously attempted to access thousands of Web sites from within each country and a "control" location where the Internet is not filtered. When possible, the tests were repeated using a different ISP within the country in question.
For each country, researchers developed a list of sites to test. Those sites were selected either because previous reports had indicated they were blocked or because they contained news or political opinions the government of a particular country might find objectionable. Researchers also tested a "global list" of sites reflecting a broad range of Internet content, categorized by themes including, for example, "news," "human rights," "universities," and "translation."
ONI researchers had previously concluded that Iran and Tunisia were using SmartFilter to censor the Internet.[19] SmartFilter is commercial software produced by the U.S.-based company Secure Computing. Its users may choose to block categories of Web sites-those pertaining to "tobacco" or containing "nudity," for example-based on lists built in to the software. Secure Computing allows users to look up a site to determine how SmartFilter has categorized it and to suggest an alternative classification. SmartFilter also allows its users to block individual Web sites not covered by any of its pre-established lists. Web sites blocked in Iran and Tunisia for their political content could fall into this second category.
In Iran and Tunisia, researchers and volunteers also tested hundreds of sites included on various SmartFilter lists to determine whether these countries were still using SmartFilter to control what material was available online. The test results suggested that both countries were.
When Web sites were accessible from the control location but inaccessible from locations inside each country in question, researchers categorized them as potentially blocked. To further distinguish between sites that were actually blocked and sites that were unavailable in each country because of a technical error, researchers examined records of what happened when potentially blocked sites were contacted from within the country and from the control location. When an Internet user points her browser to a Web site, it exchanges information with the site's server over the Hypertext Transfer Protocol (HTTP). According to this protocol, the user's browser and the Web site's server first "introduce" themselves to each other. This process is recorded in text called "headers." If an error occurs, a code indicating the type of error is recorded in the header. By examining these headers, researchers were able to distinguish between blocked sites and sites that were inaccessible because of mundane network errors or problems with the Web site's server.
The results of the tests conducted in each country are included in each country study.
Legal Standards Pertaining to Online Freedom of Expression
Right to Freedom of Expression and Exchange of Information
In his January 29, 1999, report to the U.N. Commission on Human Rights, Special Rapporteur on the protection and promotion of freedom of opinion and expression Abid Hussein observed that "while perhaps unique in its reach and application, the Internet is, at base, merely another form of communication to which any restriction and regulation would violate the rights set out in the Universal Declaration of Human Rights and, in particular, article 19." He further argued:
As regards the impact of new information technology on the right to freedom of opinion and expression, the Special Rapporteur considers it of pre-eminent importance that they be considered in light of the same international standards as other means of communication and that no measures be taken which would unduly restrict freedom of expression and information; in case of doubt, the decision should be in favour of free expression and flow of information. With regard to the Internet, the Special Rapporteur wishes to reiterate that on-line expression should be guided by international standards and be guaranteed the same protection as is awarded to other forms of expression.[20]
One of the most basic articulations of the right to free expression and information can be found in article 19 of the Universal Declaration of Human Rights:
Everyone has the right to freedom of opinion and expression; this right includes freedom to hold opinions without interference and to seek, receive and impart information and ideas through any media and regardless of frontiers.
The Universal Declaration is a foundational document of the United Nations to which all member states are deemed to adhere, and is widely considered a statement of the customary international law of human rights.
One of the most widely subscribed human rights treaties, the International Covenant on Civil and Political Rights (ICCPR), reiterates these protections. Article 19 of the ICCPR provides that everyone's right to freedom of expression "shall include the freedom to seek, receive and impart information and ideas of all kinds, regardless of frontiers, either orally, in writing or in print, in the form of art, or through any other media of his choice." Article 19 further states that restrictions on this right "shall only be such as are provided by law and are necessary: (a) For respect of the rights or reputations of others; (b) For the protection of national security or of public order (ordre public), or of public health or morals." Algeria, Egypt, Iran, Iraq, Israel, Jordan, Lebanon, Kuwait, Libya, Morocco, Syria, Tunisia, and Yemen have ratified the ICCPR. Bahrain, Oman, Qatar, Saudi Arabia, and the United Arab Emirates are not parties to the treaty.[21]
The tension between the right to free expression and information on the one hand, and national security on the other, has been the subject of much inquiry by courts, international bodies, and scholars. A group of experts in international law, national security, and human rights issued the Johannesburg Principles on National Security, Freedom of Expression and Access to Information on October 1, 1995. Over time, these Principles have come to be widely recognized as an authoritative interpretation of the relationship between these rights and interests, reflecting the growing body of international legal opinion and emerging customary international law on the subject. The Johannesburg Principles state that restrictions on freedom of expression should be permitted only when "the government can demonstrate that the restriction is prescribed by law and is necessary in a democratic society to protect a legitimate national security interest" (Principle 1.1, section d). According to the Principles, the burden of demonstrating the validity of the restriction rests with the government. Criticism of the government or its leaders is protected. In addition, a government must demonstrate that "the restriction imposed is the least restrictive means possible for protecting that interest" (Principle 1.3, section b).[22]
Under international law, governments are allowed to restrict the free flow of information to protect certain narrowly determined interests such as national security or public morals. But any decision to limit or restrict access to information should comport with international standards for protecting the right to information. Prior censorship in particular is severely disfavored in international law, and not permitted in many constitutional systems. A decision to block access to online material should be subject to the highest level of scrutiny, with a burden on the government to demonstrate that censorship would effectively avert a threat of irreparable, imminent, and weighty harm, and that less extreme measures are unavailable as alternatives to protect the state interest at issue.
Virtually all governments in the Middle East that block content on the Internet suppress some political and human rights material that is protected under international treaties governing freedom of expression. In general, the decision of what to block, and what technology to use to block it, should be in the hands of end users, rather than governments. Software programs are readily available to users for this purpose. In Egypt, for example, the government-run ISP TE Data offers a free, optional "family Internet" plan whereby users can voluntarily choose to filter material.
Concern over censorship and other restrictive practices that limit freedom of expression and information in relation to the Internet has been articulated in many international contexts.
The Sana`a Declaration on the Promoting Independent and Pluralistic Arab Media was adopted by Arab journalists on June 11, 1996, and endorsed by Arab states and the Palestinian National Authority during the twenty-ninth session of the General Conference of UNESCO in November 1997 (Resolution 34). It is an important document that describes the difficulties faced by journalists in the region and outlines measures that governments should take to support freedom of expression and information. It states that governments:
[S]hould provide, and reinforce where they exist, constitutional and legal guarantees of freedom of expression and of press freedom and should abolish those laws and measures that limit the freedom of the press; government tendencies to draw limits/ "red lines"; outside the purview of the law restrict these freedoms and are unacceptable….
[S]hould cooperate with the United Nations and UNESCO, other governmental and non-governmental development agencies, organizations and professional associations, in order to: enact and/or revise laws with a view to: enforcing the rights to freedom of expression and press freedom and legally enforceable free access to information; […]
and should
Seek the assistance of national, regional and international press freedom and media professional organizations and other relevant NGOs to establish national and regional networks aimed at monitoring and acting against violations of free expression, to create data banks and to provide advice and technical assistance in computerization as well as in new information and communication technologies…[23]
At the first session of WSIS, held in Geneva in December 2003, participants, including Egypt, Iran, Syria, and Tunisia, reaffirmed their belief that the rights to freedom of opinion and expression, as outlined in Article 19 of the ICCPR, are "an essential foundation of the information society."[24]
In its August 3, 2005 report, the Working Group on Internet Governance created by U.N. Secretary-General Kofi Annan after the first session of WSIS urged governments to "ensure that all measures taken in relation to the Internet, in particular those on grounds of security and to fight crime, do not lead to violations of human rights principles."[25]
At its sixty-first session in April 2005, the U.N. Commission on Human Rights, "recognizing the importance of all forms of media, including…the Internet, in the exercise, promotion and protection of the right to freedom of opinion and expression," expressed its concern that violations of the rights enshrined under Article 19 of the ICCPR
continue to occur, often with impunity, including extrajudicial killing, arbitrary detention, torture, intimidation, persecution and harassment, threats and acts of violence and of discrimination, including gender-based violence and discrimination, increased abuse of legal provisions on defamation and criminal libel as well as on surveillance, search and seizure, and censorship, against persons who exercise, seek to promote or defend these rights, including journalists, writers and other media workers, Internet users and human rights defenders.[26]
The Commission called on governments "to facilitate equal participation in, access to and use of, information and communications technology such as the Internet," and to "refrain from imposing restrictions…on access to or use of information and communication technologies, including…the Internet."[27]
In his December 17, 2004, report to the Commission, Special Rapporteur on freedom of opinion and expression Ambeyi Ligabo expressed his belief that "guaranteeing freedom of opinion and expression on the Internet and other new communication tools is the central challenge for the future." He noted that "many Governments use anti-terrorism and national security legislation to restrict, partially or totally, freedom of opinion and expression and the right of access to information," and invited "Governments to adopt laws and regulations allowing people to communicate freely over the Internet and to remove all present obstacles to the free flow of information."[28]
Right to Privacy
Freedom from arbitrary and unlawful interference with one's privacy and correspondence is protected both under the Universal Declaration of Human Rights and the International Covenant on Civil and Political Rights[29] and applies to electronic communications, including email and newsgroup postings, as well as electronic forms of personal data retained about individuals. Interference that is capricious, unjust or disproportionate would be "arbitrary," as would interference for a purpose inimical to the protection of human rights more generally, such as inhibiting peaceful dissent. States may not randomly or freely intercept or monitor email or Internet usage.[30]
The United Nations Human Rights Committee, the treaty body that is an authoritative interpreter of state duties under the ICCPR, in a General Comment on the right to privacy, has said:
As all persons live in society, the protection of privacy is necessarily relative. However, the competent public authorities should only be able to call for such information relating to an individual's private life the knowledge of which is essential in the interests of society as understood under the Covenant. […] Even with regard to interferences that conform to the Covenant, relevant legislation must specify in detail the precise circumstances in which such interferences may be permitted. A decision to make use of such authorized interference must be made only by the authority designated under the law, and on a case-by-case basis. [….] Correspondence should be delivered to the addressee without interception and without being opened or otherwise read. Surveillance, whether electronic or otherwise, interceptions of telephonic, telegraphic and other forms of communication, wire-tapping and recording of conversations should be prohibited.[31]
The right to privacy encompasses both the individual's right to a zone of autonomy within a "private sphere" such as the home, but also with respect to personal choices within the public sphere. This is important, as much of the controversy over how much respect to accord individual choices over Internet usage becomes caught up in characterizations of the Internet as a public space (e.g., a virtual town square or "information highway") or a zone of private communication or research (e.g., a telephone booth or a virtual library). Where the expectation of privacy also serves the purpose of facilitating freedom of expression and information, heightened scrutiny of government intrusion is appropriate. Such an expectation can be found in various contexts, such as attempts to protect the anonymity of an Internet "speaker," or the interests in keeping one's communications and browsing private even when using an Internet café.
Anonymity and Encryption
Both the right to privacy and the right to free expression entail a corollary right to communicate anonymously. The importance of allowing persons to speak anonymously has long been recognized as worthy of protection to encourage communication that might otherwise invite reprisal or stigmatization, from political pamphleteering, to anonymous tips for journalists, to "blowing the whistle" on improprieties in their workplace, to participating in AIDS outreach or support efforts. Anonymity, of course, may also be sought by persons engaged in criminal activity, so one cannot speak in terms of an absolute right. But neither may the freedom to communicate anonymously be subject to such restrictions as would eliminate the right a priori.
Encoding electronic communications ("encryption") is commonly recognized as essential to facilitating the growth of electronic commerce. The International Covenant on Civil and Political Rights requires states to act positively to protect individuals from such interference with privacy or correspondence on the part of third parties such as non-state actors.[32] Encryption, as a technology that protects communications and correspondence from arbitrary interference, should be lawful and accessible to individual users.
"Strong" encryption software, that is, coding that is nearly impossible for third parties to decipher, is widely available now to individuals and businesses, where once only governments had access to this technology. Encryption, by protecting privacy of communications, enables the free expression of ideas and information, particularly where there has been a record of government surveillance and repression. By guaranteeing privacy of communications and authenticating the identity of communicators, encryption enables free association between individuals in cyberspace, an important extension of a traditional right in the new circumstances of globalization.
While there are legitimate law enforcement concerns that must be taken into account in any national policy on encryption, there is no justification for either banning individual use of encryption or licensing users. Encryption should be viewed as a vehicle of expression like a language; the use of encryption alone should not subject an individual to criminal sanction, any more than should the use of Esperanto or Swahili to communicate.[33] Individuals should not be required to obtain authorization from the authorities in order to send or receive encrypted communications, nor should they be compelled to provide in advance to law enforcement authorities access to key recovery or other mechanisms that would permit the decoding of their communications. These are all over-broad policies that penalize law-abiding persons.
Assigning Liability for Online Content
To hold ISPs presumptively liable for all content they host or carry would pose a regulatory burden on providers that would drastically reduce and slow the flow of information-if the burden could be carried at all. The right to free expression is best served by laws that focus liability for speech on the originator of the offending content, rather than on its conduit. ISPs do not fit neatly into any existing media paradigm and governments should not subject them to regulatory structures that may be suitable for other media, such as a newspaper that can be held liable for articles appearing in its pages.
ISPs are data carriers, akin to telephone companies, and typically serve merely as conduits of information, offering the technical means for users to receive and disseminate information. ISPs seldom have knowledge of the content of the messages they transmit, or of the Web sites they host. The situation is arguably different when the offending content is contained in material over which the ISP exercises editorial control, such as a proprietary opinion column; or when the ISP is made aware that offending content has been posted on a Web site it hosts and does not remove it.
Internet Cafés
Internet "cafés" and service centers are often the only affordable way for people of ordinary means to access the Internet. Although in some sense they are public places, the activities conducted in them are entitled to the same protections as they would be if they were engaged in by clients on their own computers at home. Internet café owners should not be held presumptively liable for the browsing habits or communications of their clients any more than ISPs should. Nor should they be required to automatically submit data on all clients to the government in order to keep their licenses.
Country Profiles
Egypt
The effects of the revolution in ICTs [information and communication technologies] should not be limited to achieving economic and developmental gains. They should be extended to strengthening political, social, and cultural links among nations to bring about world peace based on justice, equality, and… supporting national efforts toward more freedom, democracy, and respect of human rights.
-Egyptian President Husni Mubarak[34]
The Egyptian government is pursuing an ambiguous policy with regard to the Internet and communication technologies. On the one hand, Prime Minister Ahmad Nazif, Minister of Communication and Information Technology Tariq Kamil, and Minister of Education Ahmad Jamal al-Din have embarked on an ambitious program to expand Egyptians' access to information over the Internet-with impressive results. The government does not engage in widespread online censorship. Many Egyptian human rights activists say that Internet access has considerably strengthened the reach and effectiveness of the movement in Egypt.
Speaking at the World Summit on the Information Society (WSIS) in 2003, President Mubarak called information technology a tool for "supporting national efforts toward more freedom, democracy, and respect of human rights."[35] At the Pan-Arab Conference on WSIS held in Cairo in May 2005, Prime Minister Ahmad Nazif told the assembled Arab and African leaders, "Knowledge and information have become-now more than ever-the main sources of prosperity and progress." But their status as such, he continued, rested on the principle that "access to and the free flow of information are basic human rights."[36]
On the other hand, the Ministry of the Interior, the office of the prosecutor general, and related security services have blocked several Web sites and detained individuals for their activities online. There is evidence that the authorities have monitored online communications without first obtaining search warrants. The authorities have blocked Web sites associated with the Muslim Brotherhood, arguably Egypt's largest opposition movement, and the al-`Amal (Labor) Party, another Islamist group. For a time the Cairo vice squad used the Internet to entrap people engaged in consensual and private homosexual conduct.[37] Law enforcement officials have advocated legislation that would increase government control over Egyptians' access to information online. Most seriously, the government retains a number of laws and Penal Code provisions that the authorities have used in the past to criminalize the exercise of freedom of expression, laws whose broad and vague language clearly represent a threat to expression and the exchange of information over the Internet as well.
Access to the Internet
Egypt first established connections to the Internet in October 1993 through two bodies: the Egyptian Universities Network (EUN) and the Information and Decision Support Center (IDSC), established under the authority of the Cabinet.[38] The EUN connected Egyptian universities to the Internet. The IDSC-where the current prime minister, his minister of communications and information technology, and the men who run many of the nation's private Internet service providers (ISPs) worked before they rose to national prominence-connected a limited number of government offices and government-affiliated research institutes and companies to the Web.[39] By 1994, the IDSC was providing free Internet service to 2,000 people in the public sector and in private companies with close ties to the government.[40]
The government made commercial Internet access available to the public in 1996. The technology caught on quickly despite the country's creaking telecommunications infrastructure and relatively high price, a testament to the public's interest in the services the Internet provided.[41] By the third quarter of 1999, some 300,000 Egyptians used 45 ISPs and a growing number of Internet cafés to connect to the Internet.[42]
Legislative reform enacted in 1998 restructured the state monopoly Telecom Egypt and ultimately, with governmental support, allowed ISPs to build their own connections to the data "backbone" infrastructure that connects Egypt with the outside world. The Ministry of Communications and Information Technology, established in October 1999, quickly set to work overhauling the country's telecommunications infrastructure. As service became faster, more reliable, and more widely available, Internet cafés proliferated and more people connected for the first time.
In January 2002, the Ministry of Communications and Information Technology, in cooperation with Telecom Egypt and the private ISPs, launched the "Free Internet Program." By September 2002, Internet service was available for the cost of a local call (roughly $0.15 an hour) nationwide. Revenues are shared between Telecom Egypt and the ISPs. Since the program's introduction, the number of Internet users has quadrupled, from 1 million users in January 2002 to 4 million by March 2005.[43]
In March 2004, the government launched a program to make broadband connections more affordable and improve the infrastructure to allow greater data traffic. Its first step was to cut the cost of high-speed asymmetrical digital subscriber lines (ADSL) connections by 50 percent, to LE150 (US$25) a month.[44]
The government says it is developing a "PC for Every Home" program, whereby families will be able to pay for computers on credit via a monthly surcharge on their telephone bills. On June 26, 2005, Minister of Communications and Information Technology Tariq Kamil announced that the government and U.S.-based chip manufacturers Intel and Advanced Micro Devices had agreed to produce a computer at a cost "appropriate to the circumstances of the Egyptian family," or LE1,200 ($200).[45]
The government has also sponsored 1,302 "IT Clubs" in rural, underserved areas, with the aim of offering access to the Internet to those who cannot afford to buy a computer.[46] For a fee of LE1 ($0.17) an hour, rural Egyptians can access the Internet and receive training in using software and web design. The "IT Clubs" are staffed by trainers who are required to live in the governorates in which they teach.[47]
This program is complemented by a "Smart Schools" initiative, funded in part by the United Nations Development Program and the government of Italy, to bring computers and computer training into Egyptian schools across the country.[48]
The government has further indicated that it is exploring broadband wireless technology as a means of expanding voice and data communications in the country. In 2005, the government conducted a six-month test of a WiMAX (wireless interoperability for microwave access) connection in the "Smart Village" it began constructing in 2003 as a means of attracting high-tech investment.[49] WiMAX technology transmits large volumes of data wirelessly and at high speeds. If successfully implemented, the government could potentially use WiMAX to offer entire villages or cities broadband, wireless Internet and voice communications.[50] A successful WiMAX program could allow Egypt to bypass several steps in developing its communications infrastructure: Rather than having to string telephone cables, improve existing landline telephone exchanges, and better integrate them with the Internet "backbone," it could simply install a series of WiMAX transmitters that could blanket large areas with broadband, wireless Internet access.
Egypt has also launched an ambitious "e-government" scheme designed to make it easier for people to access information about and interact with the government. Egyptians can now log on to http://www.egypt.gov.eg to contact ministries, pay their phone bills, apply for copies of their birth certificates, get replacement national identification cards, inquire about tax and customs regulations, check how much they owe for their electricity bill, and so forth.[51] Minister of State for Administrative Development Ahmad Darwish has promised that by 2010 there will be seventy such electronic services available, beginning with the Cairo and Giza governorates and extending to the rest of the country. He further promised that by the end of 2005, the ministry would have collected all administrative records for digitalization and that people could vote electronically in the 2010 elections. His hope, he said, was that this would save millions of Egyptian pounds annually by streamlining Egypt's bureaucracy, which employs some 6 million people.[52] Egypt has also detailed ambitious plans for using information and communications technologies (ICTs) to benefit public health, business, the environment, and culture.[53]
Spurred by these improvements, privately owned Internet cafés have become a common sight in even the poorest sections of the capital and are increasingly found in small towns throughout the country. The small city of Zaqaziq, in the al-Sharqiyya Governorate, now has 460 Internet cafés sustained, in part, by students at the local university.[54]
Information technology is now one the fastest-growing sectors of the Egyptian economy, growing at a rate of more than 16 percent a year. In 2000, the value of the information technology sector was worth $730 million. Today, that figure stands at $1.3 billion.[55]
The Internet and the Human Rights Movement
Egyptian human rights activists have argued that the spread of ICTs has appreciably strengthened the human rights movement in Egypt-to the extent that Mustafa `Abd al-`Aziz, a journalist for Cairo's independent Nahdat al-Misr, recently proclaimed the Internet "a paradise of human rights." "The difficulty of controlling the Internet," he wrote, "Makes it one of the most open means of spreading human rights information to the public, particularly young people."[56] Gamal Eid, a defense lawyer specializing in human rights and Internet issues, describes the effect the Internet has had on the human rights movement as "immeasurable." "Human rights organizations can now send out calls for help whenever the rights of a citizen have been violated," he told Human Rights Watch. "They can now launch online campaigns directed at individuals, officials, and ministers by sending out emails accompanied by activist signatures to the president, the attorney general, or the minister of the interior."[57] As he spoke, emails were coming in from other Middle Eastern organizations signing on to a joint communiqué. The effort had been coordinated over the course of a day.
Activists and bloggers now use the Internet, email, and mobile phone text messages to publicize human rights abuses, organize protests, and even coordinate slogans to chant at protests. The Egyptian Blog Ring, a Web site set up to highlight and catalogue Egyptian blogs, listed some 390 Egyptian blogs as of September 2005.[58] As elsewhere, a great many blogs are personal journals. Increasingly, though, bloggers are turning to politics.
"Baheyya," one of the first and most respected Egyptian political bloggers, made her name with detailed analyses of the Egyptian political situation, and particularly of the umbrella Kifaya ("enough," in Arabic) opposition group.[59] Many Egyptian bloggers credit her with inspiring them to begin blogging about politics.
Ala' `Abd al-Fattah, a young computer programmer and activist, significantly contributed to the growth of this phenomenon by offering technical training and support-and by his personal example. On the popular blog he runs with his wife Manal, `Abd al-Fattah announces coming demonstrations, complete with satellite maps, via Google, showing their location.[60] On May 25, 2005, for instance, as Egyptians voted on a constitutional amendment that allowed challengers to run in the September 2005 elections, plainclothes security agents beat demonstrators and riot police encouraged mobs of Mubarak supporters to beat the demonstrators.[61] `Abd al-Fattah was among those beaten. After the event, he published his photos showing and naming the officer directing the beating on his blog. He and others have also turned the photo into placards calling for an end to police brutality and carried them in subsequent demonstrations.
Galvanized by the violence around the May 25 referendum, a group of volunteers first launched a "national apology" campaign to call on those responsible, including the Interior Minister, to apologize. When no apology was forthcoming, a group of professionals joined together to form Shayfeenkum ("we are watching you," in Arabic). The aim, spokeswoman Ghada al-Shahbandar said, was "to empower the Egyptian people to prevent this from happening again, to inspire civic participation through monitoring everything in public life, including the presidential election."[62]
Al-Shahbandar described the group as "a national movement" that accepts no funding and has "no affiliation with any political party or program."[63] Shayfeenkum allows people to report human rights violations online and to attach photographs, and gives them the option to forward this information to newspapers and government ministries of their choice via their Web site, http://www.shayfeen.com. Shayfeenkum volunteers then analyze complaints alongside reports of what ministries and newspapers also received the complaints to determine if further action, including court action, is required.
In the weeks before the September 2005 presidential elections, some seven hundred people around the country volunteered to monitor polling stations for evidence of bribery, interference from security forces, incidents of violence, the shortage of indelible ink at polling stations (the ink is used to prevent people from voting twice), and six other possible violations.[64] On election day, al-Shahbandar received a call on her mobile phone from Information Minister Anas Ahmad Nabih al-Faki. He told her he had reports from Shayfeenkum that there was no indelible ink at a polling station in downtown Cairo and that he was looking into the problem. A few hours later, he phoned back to tell al-Shahbandar that the report had been confirmed and that indelible ink was now available at the polling station.[65]
The experience was not all positive, though. Shayfeenkum volunteers reported some 1,000 complaints, mostly about voter registration lists, but also including intimidation and bribery.[66] But absent from Shayfeenkum's complaints were accounts of interference from security forces, a problem that had characterized past votes in Egypt.[67]
Shayfeenkum, whose membership has grown to 1,200 volunteers nationally, plans to apply the same methodology to the parliamentary elections scheduled for early November, and to questions of public health and safety. In the wake of a September 6, 2005, fire in a theater in Beni Suef, 100km (60 miles) south of Cairo, that left thirty-one people dead, Shayfeenkum volunteers are researching fires and industrial accidents in Egypt over the past twenty years and comparing Egyptian fire codes to those of European countries to see if the Egyptian codes need to be updated. They plan to use the Internet to educate the population about Egyptian public safety laws and to collect reports of infractions.[68] More broadly, al-Shahbandar said, Shayfeenkum seeks to use the Internet "to carry the voice of the Egyptian people to the government."[69]
In the months before Egypt's presidential elections, Kifaya activists, sometimes in concert with the Muslim Brotherhood, staged near weekly demonstrations around Cairo. Immediately after each demonstration came to an end, photos and accounts began appearing on blogs. When protesters were beaten and arrested on August 1, 2005, blogs were among the first to carry the news.
Readers from around the world have posted messages of support on the opposition blogs. On June 19, 2005, All Together, a leftwing South Korean organization inspired by what they had read on the Internet, staged a "solidarity protest" in front of the Egyptian Embassy in Seoul.[70]
Ala' `Abd al-Fattah says that the Internet's role in publicizing the activities of the human rights movement has already contributed to a general change in the way Egyptians view the human rights movement:
Before most people saw it as foreign interference. The role the human rights movement played in attempting to support the Palestinian Intifada, a role publicized largely over the Internet, broke this completely. People, in general, are more receptive now to information being produced by human rights and development organizations. Human rights organizations are getting better at getting young people involved…as a result of publishing on the Web.[71]
The Internet's role in strengthening the Egyptian human rights movement is a trend that looks likely to continue. "As the cost of using the Internet falls in Egypt," The South Center for Human Rights' Wajdi `Abd al-`Aziz predicts, "we can expect that the number of users will increase, thus increasing human rights organizations' potential audience and magnifying the effect of the Internet overall as a space for airing one's views."[72]
Internet Censorship Issues
In September 2002, Egypt's Interior Ministry formed the General Administration for Information and Documentation (GAID) to police the Internet. Its director, Ahmad Issmat, told al-Ahram that his staff monitors the Internet in real time. Police, he boasted, especially sought out those visiting pornographic Web sites and could quickly go to the home of someone doing so.[73] Ignoring the fact that Egypt has no law that specifically prohibits visiting such sites, Issmat said that surveillance was easy because all ISPs passed through the state-run Egypt Telecom.[74] In March 2004, the government-owned daily al-Ahram first reported the existence of another specialized unit within the Interior Ministry, the Department for Confronting Computer and Internet Crime.[75] In practice, most of what these units do-tracking down those who use the Internet to send harassing text messages to mobile phones, for example-is uncontroversial.[76] Yet-despite assurances from Moustafa Radi, director of the GAID, that "although Internet use [in Egypt] has grown both in real terms and in comparison to other countries, Internet crime is a phenomenon so negligible it doesn't warrant attention"-many in the Interior Ministry, and, to be fair, in broader Egyptian society, continue to regard the Internet with suspicion.[77]
Morality
In its most benign form, this suspicion manifests itself as a concern for the morals of young people who use the Internet to chat with members of the opposite sex or to look at pornography.
Accordingly, in the early days of the Internet in Egypt, the government worked with the first commercial ISPs to censor Internet pornography. As more competitors entered the market, new ISPs offered "unfiltered" Internet access. Eventually, a former employee of the IDSC told Human Rights Watch, the government stopped requiring ISPs to filter Internet pornography in response to complaints from the biggest ISPs that they were losing business to ISPs that did not filter pornography.[78]
In February 2005, the Cultural Committee of the Cairo Local Council, echoing the findings of the al-Nuzha Local District Committee, requested that restrictions be placed on Internet cafés because they spread "moral degeneracy."[79] In the same month, senior officials in the southern Egyptian town of Qina said they were "revolted" by the spread of Internet cafés there and asked for more government raids to curtail the trend.[80] Children, the officials complained, were skipping school to look at pornography on the Internet. Muhammad Tisala al-Alfi, an assistant to the attorney general and the chairman of the board of the Egyptian Association for the Internet, has argued for censoring sites he broadly defines as "not in accordance with the morals of the Egyptian people."[81]
Commercial software that allows users to filter pornography on home and business computers is widely available in Egypt. The quasi-governmental ISP TE Data, one of Egypt's most popular ISPs, now offers a free, optional filtering service it calls the "Family Internet Plan." One Internet café owner in the Sharqiyya governorate said he wrote his own program to block the use of pornographic sites. "It would be wrong for us to believe that pornographic sites ruin the overall benefit of the Internet," he explained. "If every café owner regulated their own computers to keep their customers-especially the kids-from going to pornographic sites, the problems with the Internet would be finished."[82]
Ultimately, as Muhammad Sa`id, a psychology professor at Zaqaziq University points out, the state cannot legislate morals. "The answer to the problem of Internet pornography doesn't lie in regulation or censorship.... The true solution lies in instilling a conscience in children at home."[83]
There is some evidence that young people in Egypt do exercise this self-regulation. For example, Muhammad `Adil Hussain, 17, told a reporter:
When I discovered a new site that discussed the ideas of young people, I was extremely pleased with it. But when I looked through the site, I discovered a tricky subject. They should have consulted others before they published it on the Internet so anyone could see it. It was a brave subject, actually, but one that was outside the scope of our traditions and customs. I felt embarrassed reading it. Apart from this, the rest of the subjects were entertaining. And the idea that there was a place where young people could express their ideas, dreams, and difficulties is something to which we all aspire. It's all of our duties to regulate our own behavior so that we know how to distinguish between what should and shouldn't be said.[84]
Political Violence
Governmental wariness of the Internet also stems from a concern that the technology can be a tool for recruitment and propaganda by groups that advocate and perpetrate violence. A week after the April 7, 2005, bombing in a Cairo neighborhood frequented by tourists that left five dead, Egypt's prosecutor general, Mahir `Abd al-Wahid, called the bomber "a victim of the Internet:" security officials looking at his online records said he had spent time on Web sites affiliated with groups that advocate political violence.[85] The pronouncement touched off a flood of articles in the Egyptian press. On April 15, 2005, the semi-official al-Ahram ran a full-page special on electronic "terrorist recruitment."[86] The next day, the semi-official al-Akhbar al-Yawm's front page carried the headline, "Brainwashing on the Internet: Web sites of the Industry of Death and Centers for Producing Terrorism."[87] The independent al-Nahda al-Misr followed a few days later with a feature story on the Internet and the bombings.[88] "The Internet: The Quickest Way to Recruit Extremists," al-Akhbar headlined on May 16, 2005.[89] Not to be outdone, journalists from the opposition newspaper al-Wafd spoke to Dr. Ahmad Mohsin, a professor at the al-Sadat Military Academy, about the best way to censor Web sites that seek to propagate political violence.[90]
Not surprisingly, the Sixth Conference on Cyber-Crime in Cairo on April 12, 2005, received detailed attention in the Egyptian press. Speaking on behalf of Egyptian Interior Minister Habib al-`Adli, Deputy Interior Minister `Abd al-Rahim al-Qanawi boasted of Egypt's "advanced security system, both on the level of preventative procedures and on the level of cyber-crime, based on the latest theories of scientific research."[91] Al-Qanawi asserted that the GAID was proof of Egypt's progress in the area. Mohammed Ibrahim, director of the Egyptian branch of Interpol, declared that the "world must band together to combat cyber-crime with an iron fist,"[92] and Jean-Michel Louboutin, executive director of Interpol's police services, reportedly praised Egypt for joining Interpol's international security database.[93]
At the Eighth Arab Conference on Combating Terrorism in June 2005, attended by interior ministers from around the region, the conference's Egyptian chairman, Assistant Interior Minister Brig. Gen. Ibrahim Hammad, said that sites that foster terrorism should be closed down as part of a proposed U.N. framework for combating online crime.[94] His remarks received widespread coverage in the Egyptian press. So did a master's thesis written by Muhammad Tisala al-Alfi, an official from the national prosecutor general's office, which argued for the establishment of a pan-Arab Internet police force to patrol the Internet. He also advocated classifying the Internet in Egypt as a form of public display, and so subject to the relevant provisions of the penal code.[95] Such statements from senior officials within Egypt's security apparatus suggest that some seek expanded authority to control the Internet.
Governments may legitimately monitor electronic communications of people suspected of engaging in crimes such as planning violent attacks, provided they do so according to the law, and with independent judicial review that considers the need for such an intrusion on a case-by-case basis. Governments may also block Web sites that incite the commission of crimes. The cause for concern in this regard is that the Egyptian government has cited the threat of violence to justify a wide range of serious human rights abuses over the past several decades, including unwarranted restrictions on freedom of expression.
Case Studies of Internet Repression
Shohdy Naguib Sorour
In June 2002, the Sayyida Zainab court in Cairo sentenced Shohdy Naguib Sorour to a year in prison for possessing and distributing "Kuss Ummiyat," a bitter and profane political satire written by his father, the late Egyptian avant-garde poet Naguib Sorour, between 1969 and 1974. The court found that Shohdy had posted the poem on the Web site http://www.wadada.net and that the poem transgressed public morality. The case against him (Case Number 1412 for the year 2001) was based on Article 178 of the Egyptian Penal Code, which reads, "Whoever makes or holds, for the purpose of trade, distribution, leasing, pasting, or displaying printed matter [or] manuscripts…if they are against public morals, shall be punished with detention for a period not exceeding two years and a fine of not less than 5,000 pounds and not exceeding 10,000 pounds or either penalty."[96]
Sorour's lawyers argued that the prosecution could not prove that Sorour had posted the poem on the Internet. The court convicted Sorour even though the police assigned to investigate the case found that Sorour's personal computer had no Internet connection and did not contain a copy of his famous father's poem. The only piece of evidence the prosecution could produce was that Sorour, like thousands of his father's admirers, possessed a hard copy of the poem.[97] Even had the police been able to prove that Sorour had republished the poem online, his imprisonment would violate Egypt's commitments to free speech.
Sorour indicated he would appeal the decision but fled the country before the appeal hearing. On October 14, 2002, the South Cairo Bab al-Khalq appeals court confirmed the Sayyida Zainab court's one-year sentence.
Ashraf Ibrahim
In March 2003, Ashraf Ibrahim participated in Cairo demonstrations against the U.S.-led war in Iraq. He had previously been active in a solidarity committee that collected food and medical aid for Palestinians in the Gaza Strip and organized peaceful protests against Israeli policies in the Occupied Territories. When he witnessed police violently dispersing antiwar demonstrations in late March 2003, he emailed accounts and photographs of the violence to international human rights organizations.[98]
On April 17, 2003, security agents raided his home and confiscated his computer, video camera, and other electronic equipment. Two days later, Ibrahim turned himself over to State Security Investigations. He was immediately detained under Egypt's emergency legislation, which allows indefinite arbitrary detention. He was held at Mahkum Tora prison, near Cairo, and reportedly shared a cell with approximately forty criminal convicts, in violation of international standards requiring that pre-trial detainees be separated from convicted prisoners.[99]
Prosecutors initially told Ibrahim and his attorneys that he was under investigation for downloading information on human rights from the Internet, as well as information from the Web site of the al-Jazeera news service. He was held for nearly four months before the State Security Prosecution, on August 7, 2003, charged him with "harming Egypt's reputation by spreading abroad false information regarding the internal affairs of the country to foreign bodies-human rights organizations-which includes, contrary to the truth, violations of human rights within the country."[100]This charge was based on Article 80(d) of Egypt's Penal Code, which imposes a minimum sentence of six months and up to five years on "any Egyptian who deliberately discloses abroad false or tendentious news, information or rumors about the country's internal situation," or who "carries out any activity aimed at damaging the national interest of the country."
The authorities also charged him with belonging to an illegal organization-a group named in the indictment as the Revolutionary Socialists-and with possessing with the intent to distribute material relating to this group.[101] Article 86(bis) of the Penal Code, passed as part of counter-terrorist legislation in 1992, sets criminal penalties for any person who establishes, runs, joins, or possesses and distributes publications of any organization or association or group that calls for suspending the constitution or laws, preventing one of the state institutions or a public authority from fulfilling its activities, or "impairing the national unity or social peace."
On March 11, 2004, the Emergency State Security Court acquitted Ibrahim. He had spent almost a year in prison. The police officer in charge of the investigation never secured a warrant to monitor Ibrahim's emails, with the result that prosecutors were unable to present them as evidence in court to substantiate the charge that he had passed information to international human rights organizations.[102]
Moreover, his detention violated the government's stated policy on the privacy of emails and its international treaty commitments to privacy and freedom of expression. Article 19 of the ICCPR protects everyone's right to "impart information of all kinds, regardless of frontiers…through any media of his choice."[103] The Egyptian government's avowed policy is that "all…content [that is not obscene, harassing, or distressing], whether in emails or otherwise, is unaffected by the law and is considered the inviolate property of the user…The secrecy of such information is protected by law, and government authorities must obtain a court's permission before intervening to find out any information of this kind."[104] Article 17 of the ICCPR states that "no one shall be subjected to arbitrary or unlawful interference with his privacy, family, home or correspondence, nor to unlawful attacks on his honour and reputation."[105]
The Muslim Brotherhood
On June 5, 2004, the High State Security Prosecution detained twelve leaders of the Muslim Brotherhood in the Munifiyya Governorate for three weeks. Among those imprisoned were several people who run a Web site called "Window onto Egypt" which presented the group's ideology, press releases, newsletters, and letters from its leader. Security agents stated that the accused, members of a banned but tolerated organization, used the Internet to chat with each other, to post news about the Muslim Brotherhood's leaders and the group's ideology, and to inform members of their assigned tasks.[106]
The Muslim Brotherhood is arguably the largest political opposition group in Egypt. Though banned for the past 50 years, the government has tolerated its existence, an ambiguity that officials have often exploited to detain members of the Muslim Brotherhood at will.
Prosecutors asserted that some of the detained ran the Window onto Egypt Web site on behalf of the Muslim Brotherhood and used the Internet to communicate with other members of the organization. This suggests that security agents may have illegally monitored their online activities. Article 65 of the 2003 Communications Law circumscribes the authorities' ability to monitor communications and provides clear guarantees of citizens' privacy. Security agencies may only interfere with private communications after obtaining judicial authorization, which must be limited to thirty days and may only be issued in connection with the investigation of a crime punishable by more than three months in prison.[107] Egypt is a party to the ICCPR, and its constitution, at Article 47, provides that "freedom of opinion shall be guaranteed. Every individual shall have the right to express his opinion and to publicize it verbally, in writing, by photography, or by other means of expression within the limits of the law."[108] In this case, if the security services did not procure a warrant in advance, the monitoring of the correspondence and online activities of the Muslim Brotherhood members would fall afoul of these rights guarantees. The government held the accused without charge for three weeks before releasing them-some on bail and others on their own recognizance-"pending further investigation." The case is still open.[109]
Ahmad Haridi
On April 28, 2002, the Bulaq Abu al-Aila Misdemeanor Court in Cairo sentenced Ahmad Haridi, editor of the online publication al-Mithaq al-`Arabi, to six months in prison for defaming Ibrahim Naf`i, then the government-appointed editor-in-chief and chairman of al-Ahram. Naf`i filed a criminal libel complaint in July 2001 after Haridi published a series of articles in May and June 2001 alleging that Naf`i and several other senior managers at al-Ahram were corrupt.[110] Haridi appealed the Bulaq court's decision and was released on bail of LE1,000 (U.S.$215 at the exchange rate at the time). The case was postponed until February 1, 2003, and remains open.
On October 12, 2004, Haridi filed a complaint in the Cairo Administrative Court against the prime minister and the minister of communications and information technology, charging that from September 1, 2004, the government had illegally blocked his Web site, http://www.almethaqalaraby.net/.[111] He asked for the ban to be lifted and for LE10 million, plus legal costs, in compensation.[112] Shortly before the first hearing, the block on the Web site was lifted.[113]
Lawyers for the prime minister and the minister of communications and technology argued that the National Telecommunications Regulatory Authority (NTRA) was the responsible government agency.[114] Lawyers for the NTRA, in turn, argued that any number of Egyptian government agencies had the authority to censor Web sites. The NTRA lawyers argued that the Information Technology Development Authority (ITDA), established by the 2004 Electronic Signatures Law under the authority of the minister of the communications and technology, was responsible for licensing and overseeing Web sites, thereby pointing the finger back at the minister of communications and technology.[115] The lawyers further argued that the prime minister could equally be held responsible for blocking Haridi's site because the IDSC, which is under his control, had acted as the representative of the Egyptian authorities in the 2001 libel case.[116] Finally, they argued that under the 2003 Telecommunications Law, all symbols, signs, pictures, letters, messages, pictures and sounds are subject to the censorship of the military and national security agencies.[117] The case is still open.
Ambassador Fahmy told Human Rights Watch, "Sites may not be blocked or shut down without following the relevant legal procedures. The law allows the executive authorities to issue regulations concerning sites that threaten the safety and security of society within the framework of existing laws."[118]In Haridi's case, lawyers for the prime minister, the minister of communications and technology, and the NTRA argued that a range of government agencies could block a Web site for alleging that an editor with close ties to the ruling party was corrupt. That lawyers representing different governmental bodies argued against each other regarding who had authority to block a Web site suggests that the "relevant legal procedures" and the proper justifications for blocking a Web site are unclear even to government lawyers.
Iman Badawi
On September 2, 2000, EgyptAir pilot `Ali Murad landed an EgyptAir passenger plane in Gaza Airport and, after failing to get instructions from his supervisors and the Egyptian Embassy, refused to allow Israeli soldiers to inspect the plane, returning instead to Cairo. EgyptAir referred him to the Administrative Prosecutor for causing the company financial loss. The prosecutor suspended him from work without pay. On March 21, 2001, after Murad became a cause celèbre in Egypt and throughout the Arab world and a team of volunteer celebrity lawyers came to his defense, a High Disciplinary Court ruling absolved him of any wrongdoing and ordered EgyptAir to pay him his missed wages.[119]
In May 2002, the company suspended Murad without pay again. Iman Badawi circulated emails calling for a boycott of the company and posted an online petition addressed to "President Mubarak and all patriots," calling for Murad to be reinstated in his job, with back pay.[120] According to Badawi's lawyers, in July 2004 Civil Aviation Minister Ahmad Muhammad Shafiq accused Badawi of publishing "false news" about EgyptAir and of libel.[121] Both charges are criminal offenses under Egyptian law. The minister's lawyers gave the prosecutor a compact disk containing the email and the IP address from which it had been sent. The prosecutor, in turn, asked the Ministry of the Interior's "cyber-crime" unit to verify that the email had come from Badawi's computer. The unit reportedly confirmed that the email had come from an IP address assigned to Badawi's phone number, but would not give Badawi's lawyers a copy of the report on the grounds that the investigation was in progress.[122] The case is still open, though authorities have reportedly stopped pursuing the charges.[123]
Internet Cafés in Egypt
In July 2005, Ambassador Fahmy informed Human Rights Watch,
As regards Internet cafés and libraries, in general terms, the law does not prevent or allow any party to interfere in their operation. However, as is the case with all commercial activities, anyone wishing to open an Internet café or library must first obtain a license from the relevant authorities. Such cafés may only be closed by court ruling.[124]
This stands in marked contrast to then-IDSC Chairman Ra'fat Radwan's recommendations five years ago:
Net cafés must be monitored. Any activity has good and bad elements. There should be several restrictions such as a central control on material sent through the Internet that could be against Egyptian principles. The Vice Squad in the Ministry of the Interior should play a role in monitoring these Internet cafés.[125]
In December 2004, the authorities arrested twenty-one Internet café owners in Cairo, in what al-Ahram called a "huge crackdown," and reportedly seized seven computers containing films and images "affronting public decency."[126] The owners were fined for operating without a license and released. Their computers were never returned.[127]
This was not the first time Internet café owners had run into trouble with the authorities. Internet café owners have long reported that Interior Ministry officials required them to record the names and identification numbers of their clients on a log, alongside photocopies of clients' identification cards. In April 2003, an Internet café owner who spoke on condition of anonymity told human rights investigators:
Someone came and told me that the police assistant wanted me to see him at 10 p.m. When I went, I found many people I know who own Internet cafés. "Do you have licenses?" the police assistant asked us. We answered, "No, but we could apply for licenses, Pasha." He said, "No problem, but I want you to take the visitors' photocopied identification cards when they come to use the Internet at your cafés and also to see what Web sites they visit on the Net." We answered, "O.K." I began to ask visitors to give me a photocopy of their ID, but they refused and left. So I decided not to ask in order not to lose my customers."[128]
In interviews conducted in July and August 2005, clients at Internet cafés all told Human Rights Watch that café owners had asked them for their names and identification numbers at least once. Several said that when they had questioned the café owner, he replied that it was a Ministry of the Interior regulation, and that they could invent a name and number if they preferred. Café owners told Egyptian human rights investigators they were not required to furnish the lists to the Ministry of the Interior regularly but were required to keep them as records.[129] Many said that they enforced the rule laxly: "If a customer comes in with a beard," one café owner said, "I ask for his ID. If he looks like a working-class guy, I ask. But if he looks middle-class or if he is good looking, I don't ask. I want these people as customers."[130]
Blocking Web Sites
To date, there have been few reported cases of Web sites being blocked in Egypt. Articles that had been censored in print publications such as the Cairo Times and the Middle East Times ran in their entirety online. Egyptian organizations and individuals continue to criticize government policies and individual officials in strong terms online. With a few notable exceptions they do so without interference from the regime.
Those exceptions are important. Recent tests conducted by computer-savvy activists in Egypt and the United States over the course of March 2005 confirmed that http://www.ikhwanonline.com, the official Web site of the Muslim Brotherhood, was blocked by Egypt's most-popular ISPs.[131] However, http://www.ikhwanonline.org, which redirects a visitor to a mirror site hosted by a third party, was available. Human Rights Watch tests conducted in Cairo over the course of July-September 2005 confirmed both these results.
The continued availability of http://www.ikhwanline.org provides a glimpse into the continuing cat-and-mouse game played between the censors and the censored. Repeated attempts to access http://www.ikhwanonline.org from Cairo over the course of July-September 2005 found that the Web address redirected to a "mirror" site, http://ikhwanonline.org.previewyoursite.com. The site http://www.previewyoursite.com is registered to a Canadian company and is not blocked in Egypt.
Leftist and Islamist political movements continue to use the Web to organize their activities and to communicate, despite attempts by the Interior Ministry to disrupt these activities. Banned groups are now using third-party sites they do not officially endorse-public bulletin boards, chat rooms, and so on-to coordinate their activities.
Whereas the Muslim Brotherhood once announced protests primarily on the group's site, today the organization relies on mass email campaigns and posts on other non-affiliated Web sites. "We've tried to avoid the ban by changing our IP address four times," a Muslim Brotherhood member recently told al-Hayat, "but we've always been pursued. We eventually had to use a complex technological trick to avoid being blocked."[132] Likewise, the Islamist al-`Amal (Labor) Party leadership, whose activities the government has frozen for the past five years, now holds a weekly two-hour conference in a chat room-the location of which changes regularly-to plan its activities for the coming week.[133] Both groups urge their members to use false names and email addresses, though this would not prevent anyone interested in determining their identities from doing so.[134]
Tests using the popular Egyptian ISP Link.net and conducted over the course of July-September 2005 confirmed that the Web site of the Labor Party's biweekly newspaper al-Sha`ab, http://www.alshaab.com, banned since May 2000, was blocked in Egypt. The authorities banned the newspaper after it ran a series of scathing attacks on government ministers, culminating in a campaign against Culture Minister Faruq Husni after the ministry's General Organization for Cultural Palaces published the Syrian novel Banquet for Seaweed-which the newspaper termed "blasphemous."[135] Students at Cairo's al-Azhar University took to the streets in response, and clashes with the police left more than fifty injured.
Rather than pursuing the newspaper for incitement, an approach that would require the government to prove a causal relation between the article and the violence, the government instead used administrative means to shut down the paper and its Web site. In May 2000, the Political Parties Committee, an offshoot of the Shura Council-one third of which is appointed by the president-tasked with licensing political parties, froze the al-`Amal Party's activities, citing a leadership dispute and its overtures to the banned Muslim Brotherhood. This indirectly but effectively robbed al-Sha`ab of its license to publish. The question of whether it also made the online version of the newspaper illegal is ambiguous under Egyptian law: Egyptians need not apply for a license to publish Web sites, but in this case the Web site was clearly connected to the hard copy of the newspaper.
Magdi Hussain, editor of al-Sha`ab at the time, notes that the newspaper was one of the first to go online, in 1997, and insists that the paper and its Web site were "illegally and unconstitutionally banned…We have thirteen court orders in our favor based on the constitution, which clearly states that 'a newspaper cannot be banned through administrative means.'"[136]
The Library of Alexandria
On August 14, 2005, the Arabic Network for Human Rights Information (ANHRI), reported that Web sites of international human rights organizations such as Human Rights Watch and Amnesty International were unavailable at the Library of Alexandria.[137] When Gamal Eid, the director of the ANHRI, told members of the Friends of the Library Association about his inability to access these sites, the members confirmed that the library blocked the Web sites of human rights organizations and popular email Web sites. A spokesman for the library has denied the library blocks any Web sites.[138] Eid told Human Rights Watch that in September 2005 a journalist visited the library and found that the sites were then available.[139]
Entrapment
Human Rights Watch knows of forty-six men arrested and brought to trial for homosexual conduct between 2001 and 2004 after they were entrapped by police over the Internet.[140]Al-Wafd put the figure at more than 400.[141] The men were lured by police agents posing as gay men named "Raoul," "Wael Samy," and "Dennis." They developed online relationships with their victims, collected evidence that they had engaged in homosexual acts, and then lured them into meetings, where they were arrested. Most men entrapped over the Internet were charged with both the "habitual practice of debauchery" and with some form of "inducing" or "advertising" for debauchery. Often the only evidence of debauchery was whatever description of sexual acts "Raoul" elicited in Internet chat; since prosecutors present the chat in court as a printed-out text, moreover, authorities could easily have altered it.[142] Likewise, the only evidence that the Internet personals ad belonged to the man arrested is the photograph (if "Raoul" persuaded him to send one) and the defendant's signature at the police station; the authorities could have gotten the photograph through other means, and the police often obtained the signatures under torture.[143]
Local activists report that they are not aware of further arrests for "debauchery," through the Internet or otherwise, since March 2004, when Human Rights Watch released a major report on the persecution of men engaged in homosexual conduct.[144]
Legal Framework
Article 47 of the Egyptian constitution promises that "freedom of opinion shall be guaranteed. Every individual shall have the right to express his opinion and to publicize it verbally, in writing, by photography, or by other means of expression within the limits of the law."[145]
The 1996 Press Law states that "journalists are independent and not under the authority of anyone." "Within the limits of the law," it further states, "a journalist's opinion or truthful information published by him may not be a reason for a violation of his personal security, and he must not be forced to disclose the sources of his information."[146] The question of whether online journalists are subject to the same protections as print journalists has yet to be tested in an Egyptian court. The reluctance of the Press Syndicate to admit online journalists to its ranks reflects uncertainty on this issue.[147]
Article 19 of the International Covenant on Civil and Political Rights, to which Egypt became a party in 1982, guarantees the right to freedom of expression, including the "freedom to seek, receive and impart information and ideas of all kinds, regardless of frontiers, either orally, in writing or in print, in the form of art, or through any other media."[148]
When Human Rights Watch asked the Egyptian government about its policy on Internet censorship, the government responded:
As regards blocking and censorship, it is unregulated by the authorities. However, service providers can provide this service to protect those accessing its sites, just as service provider companies can block indecent sites to protect families. Sites may not be blocked or shut down without following the relevant legal procedures. The law allows the executive authorities to issue regulations concerning sites that threaten the safety and security of society within the framework of existing laws.[149]
How censorship and blocking can be both "unregulated by the authorities" and subject to the executive authorities' "regulations concerning sites that threaten the safety and security of society within the framework of existing laws" is unclear-especially given the framework of existing laws that specifically pertain to the Internet. The "E-Signature" Law (Law No. 14 of 2004) gives electronic signatures the same legal weight as written signatures; the 2003 Communications Law (Law No. 10 of 2003) places checks on the government's authority to monitor electronic communications.[150] Neither gives the executive authorities the power to block Web sites but, as the lawyers for the National Telecommunications Regulatory Authority argued in the Ahmad Haridi case (see above), Egyptian law can be interpreted to mean that the government as well as the military and security agencies are in a position to censor online communications and block Web sites. In any event, according to Ahmad Saif al-Islam, director of the Hisham Mubarak Law Center, Egyptian prosecutors have at their disposal a raft of repressive legislation that they have used to criminalize the peaceful expression of views critical of the government and that they could apply to the Internet as well.[151] The ambiguity allows the government to claim that it is pursuing an open policy with regard laws specific to the Internet. The government has rarely used these broader laws to date against Egyptians for their online activities, but the potential is there, as the detention and prosecution of Ashraf Ibrahim for disseminating "false news" illustrates.
Egypt's Emergency Law (Law No. 162 of 1958 as amended), in effect almost continuously since 1967, gives the president broad powers, including the censorship, confiscation, and closing of newspapers on the grounds of protecting "public safety" and "national security."[152] Law 97/1992, known as the Law to Combat Terrorism, gives the government broader powers to combat political violence, and criminalizes forms of non-violent opposition.[153] It has been used, for instance, to justify the ban on the Muslim Brotherhood and to imprison hundreds of Brotherhood activists and try them before military courts. The ban on the Muslim Brotherhood appears to be the basis for the government's blocking of the group's Web site.
Article 178 of the Penal Code was the basis for the charges brought against Shohdy Naguib Sorour (see above). It allows for the detention of whoever distributes or "displays pictures that are liable to offend against the country's repute, whether by departing from the fact, giving an incorrect description, emphasizing improper aspects, or by any other means."[154] Article 179 allows for the detention of "whoever affronts the President of the Republic by means of any of the foregoing methods."[155] Article 185 further stipulates that insulting a public official in relation to the conduct of the official's duty or service can be punished with a maximum of one year in prison.[156] Article 303 allows imprisonment of up to two years for defamation of a public official in relation to the conduct of the official's duty or service.[157] Article 307 states that sentences should be doubled in cases where insult or defamation was produced as printed material.[158]
Article 98B of the Egyptian Penal Code, as amended in 1953, allows sentences of up to five years in prison for
whoever propagates in the Republic of Egypt, by any means, the call for changing the basic principles of the Constitution or the basic systems of the social community…once the use of force or terrorism, or any other illegal method, is noted in doing that. The same penalties shall be inflicted on whoever advocates in any way whatsoever the foregoing deeds.[159]
Article 98B(bis) further extends these penalties to "whoever obtains, personally or by an intermediary, or possesses written documents or printed matter comprising advocacy or propagation of anything of what is prescribed in articles 98B and 174, if they are prepared for distribution or for access by third parties, and whoever possesses any means of printing, recording or publicity which is appropriated, even temporarily, for printing, recording, or diffusing calls, songs, or publicity concerning a doctrine, association, corporation, or organization having in view any of the purposes prescribed in the said two articles."[160] In the Internet age, that could be anyone who had ever visited an Islamist Web site or read a political speech reproduced on a reputable news Web site. Pages accessed on the Internet remain cached on the user's computer in a form that could easily be used to redistribute them. Anyone using a computer with a connection to the Internet "possesses the means of printing, recording or publicity."
Article 102(bis) of the Penal Code allows for the detention of "whoever deliberately diffuses news, information/data, or false or tendentious rumors, or propagates exciting publicity, if this is liable to disturb public security, spread horror among the people, or cause harm and damage to public interest."[161]
Encryption
Use of encryption technology in Egypt requires government permission. Ambassador Fahmy told Human Rights Watch:
The law prevents communications services operators and providers from using encryption technology until they have received permission to do so from the state communications agencies, the national security services and the armed forces. It should be noted that permission is only granted if the reasons for employing encryption technology are found to be satisfactory. Such permission has already been granted on numerous occasions.[162]
Conclusion
- Access: The Egyptian government should actively pursue its programs to increase access to information via the Internet. Initiatives to spread WiMAX technology and computer literacy to rural areas and to decrease the costs of the technology show particular promise. Spurred in part by the government's vigorous investment and innovative policies, Internet and communications technologies are spreading quickly throughout Egypt, with appreciable positive affect on the country's human rights movement.
- Censorship: In keeping with its stated goal of promoting "more freedom and democracy," the government should remove the bans on Web sites of the Muslim Brotherhood and the al-`Amal party.
- Legislation: President Mubarak should make good on his pledge not to renew Egypt's Emergency Law (Law 162/ 1958), which gives the president broad powers to censor and shut down the news media, and ensure that any new counter-terrorism legislation does not embody the same sort of broad and vaguely worded terms that serve to criminalize the exercise of free expression. The government should repeal Article 80(d) of Egypt's Penal Code, which criminalizes disclosing "false news" about Egypt's "internal situation" or doing anything "aimed at damaging the national interest of the country." Its broad and vaguely worded criminalization of "false or tendentious news" invites abuse and contravenes international standards on freedom of expression. Likewise, the government should seek the repeal of articles 98B(bis), 102(bis), 178(bis-third), 179, 185, and 303 of the Penal Code because they unduly restrict the right to access and disseminate information. These provisions respectively impose criminal penalties on whoever possesses documents calling for "changing the basic principles of the constitution," "deliberately diffuses news, information/data…liable to disturb public security, spread horror among the people, or cause harm and damage to public interest," displays "pictures liable to offend against the country's repute," "affronts the President of the Republic," or insults a public official in relation to the conduct of the official's duty. The vagueness of these provisions invites abuse and contravenes international free expression standards.
- Encryption and Anonymity: The Egyptian government should rescind legal restrictions on the use of encryption technology, and end the requirement that encryption users seek prior permission before doing so.
- Internet Cafés: The Egyptian government should positively affirm, by ministerial decree or by law, that Egyptians have free and unimpeded access to Internet cafés and Internet-connected libraries, and that such businesses are not required to provide customer records without a specific court order based on a compelling and particularized showing of need in relation to the commission of a crime.
- The Right to Access Information: The Egyptian government should prohibit courts from resting criminal liability on nothing more than evidence of visiting Web sites, even those that may legitimately be banned under international standards of free expression and information.
Iran
Freedom of expression and freedom of thought are the preconditions of a democratic society. But freedom does not mean chaos.
-Former Iranian President Mohammad Khatami[163]
When young people meet each other in Iran, one of the first questions they ask each other is, "Do you have a blog?"[164] In February 2004, an online "census" ranked Farsi the third-most-popular language for blogs.[165] A 2004 poll found that many Iranians trust the Internet more than other news media.[166] The trend has spread to the highest levels of the government: former Vice-President Mohammad Ali Abtahi set up a blog to record progress at a conference he was attending, complete with photos.[167] A senior cleric maintains a blog-like Web site for Iran's Supreme Leader, Ayatollah Ali Khamenei.[168]
Much of this Internet activity in Iran, particularly on the part of critics of the government, has developed in response to the relentless crackdown on the independent print media and continuing government control of television and radio. In April 2000, the Office of the Leader and the judiciary launched a campaign against the independent press, closing more than one hundred newspapers and journals in the period since then. The judiciary ordered the arrest of scores of journalists and writers. Saeed Mortazavi, then the judge of Public Court Branch 1410, was the leading force behind the crackdown in its early years, directed mainly at newspapers and journals which had become critical voices for change. He was subsequently appointed to the powerful position of Tehran Chief Prosecutor, a post he holds today.[169]
Following this crackdown, many journalists and dissidents increasingly relied on the Internet to circumvent the judiciary's tight control of print media. In 2004, the judiciary, relying on unaccountable intelligence and security forces, began to target online journalists and bloggers in an effort to quash this flourishing new medium.
Iranian Web sites-despite a desperate effort on the part of the government to control the Internet¾nevertheless continue to express opinions that the country's print media would never run. The government has imprisoned online journalists, bloggers, and technical support staff. It has blocked thousands of Web sites, including-contrary to its claims that it welcomes criticism-sites that criticize government policies or report stories the government does not wish to see published.[170] It has sought to limit the spread of blogs by blocking popular Web sites that offer free publishing tools for blogs.
Iran has the potential to become a world leader in information technology. It has a young, educated, computer-literate population that has quickly taken to the Internet. It is rapidly developing its telecommunications infrastructure. Attempts to restrict Internet usage violate Iran's obligation to protect freedom of expression and foster popular mistrust of the government.
Access to the Internet
Internet use is soaring in Iran. In 2001, an estimated 250,000 Iranians were online.[171] By July 2005, that number had climbed to 6.2 million.The Telecommunication Company of Iran (TCI), a private company the government established to implement the Ministry of Communications and Technology's policies, estimates that 25 million Iranians will be online by 2009. In July 2005, Iran was home to 683 Internet Service Providers (ISPs).[172] The Data Communication Company of Iran (DCCI), a subsidiary of the TCI, is the nation's most widely used ISP.[173]
According to one estimate, 1,500 Internet cafés service Tehran alone.[174] The TCI has undertaken an ambitious program to extend this service to the countryside. It connected 2,745 villages to the telecommunications network in 2004, bringing the total number of connected villages to 44,741 (of approximately 70,000) by July 2005. Iran is rapidly extending its high-speed fiber-optic cable network, laying 2,768 kilometers of fiber-optic cables in 2004 alone.[175] In March 2004, Alcatel, a French telecommunications company, announced it had signed a contract with the private Iranian ISP Asre Danesh Afzar to supply 100,000 broadband, dedicated subscriber lines (DSL) to Iran.[176]
Legal Constraints on Free Expression
The right to free expression is enshrined in the Iranian constitution and in international human rights treaties ratified by Iran. Article 23 of the Iranian constitution holds that "the investigation of individuals' beliefs is forbidden, and no one may be molested or taken to task simply for holding a certain belief."[177] Article 24 safeguards press freedoms.[178] Article 19 of the International Covenant on Civil and Political Rights (ICCPR), which Iran ratified in 1975, states, "Everyone shall have the right to hold opinions without interference," and that "everyone shall have the right to freedom of expression; this right shall include freedom to seek, receive and impart information and ideas of all kinds, regardless of frontiers, either orally, in writing or in print, in the form of art, or through any other media of his choice."[179]
Iran's leaders have rhetorically upheld these commitments. Then President Mohammad Khatami, speaking to reporters in December 2003, said Iran was "not censoring criticism. Criticism is OK. Even political Web sites that are openly opposed to the Iranian Government…are available to the Iranian people."[180] Iran's former minister of information technology, Ahmad Motamedi, added that there was "no punishment defined" for publishing material the government did not agree with.[181]
In practice, vaguely worded Iranian laws and regulations restrict the exercise of the rights to free expression and to access information. Article 500 of the country's Penal Code states that "anyone who undertakes any form of propaganda against the state...will be sentenced to between three months and one year in prison," and leaves "propaganda" undefined.[182]
Iran's Press Law of 1986 forbids censorship while at the same time it establishes a broad basis for the harsh punishment of content deemed inappropriate. Article 4 declares that "no government or non-government official should resort to coercive measures against the press…or attempt to censure and control the press."[183] But Article 6 forbids, among other things, publishing material
promoting subjects which might damage the foundation of the Islamic Republic…encouraging and instigating individuals and groups to act against the security, dignity and interests of the Islamic Republic of Iran within or outside the country…or offending the Leader of the Revolution and recognized religious authorities (senior Islamic jurisprudents)…or quoting articles from the deviant press, parties and groups which oppose Islam (inside and outside the country) in such a manner as to propagate such ideas.[184]
Article 25 of the Press Law further holds writers who "instigate and encourage people to commit crimes against the domestic security or foreign policies of the state" responsible as accomplices to those crimes, "should those actions bear adverse consequences," and adds, "If no evidence is found of such consequences, [writers] shall be subject to a decision of the religious judge according to Islamic penal code."[185] What comprises a "crime against the domestic security or foreign policies of the state" is left open to interpretation. Likewise, Article 26 continues, "Whoever insults Islam and its sanctities through the press and his/her guilt amounts to apostasy, shall be sentenced as an apostate, and should his/her offense fall short of apostasy he/she shall be subject to the Islamic penal code."[186]
Article 27 continues, "Should a publication insult the Leader or Council of Leadership of the Islamic Republic of Iran or senior religious authorities (top Islamic jurisprudents), the license of the publication shall be revoked and its managing director and the writer of the insulting article shall be referred to competent courts for punishment."[187]
Under Article 513 of the Penal Code, offences deemed to be an "insult to religion" can be punished by death or imprisonment for up to five years, but "insult" is not defined. Article 698 provides sentences of up to two years in prison or up to seventy-four lashes for those convicted of intentionally creating "anxiety and unease in the public's mind," spreading "false rumors," or writing about "acts which are not true." Article 609 criminalizes criticism of state officials in connection with carrying out their work, and calls for a punishment of a fine, seventy-four lashes, or between three and six months of imprisonment for such "insults."[188]
Such sweeping language violates international free-expression norms. According to the U.N. Human Rights Committee, "When a State party imposes certain restrictions on the exercise of freedom of expression, these may not put in jeopardy the right itself."[189] The Special Rapporteur on the promotion and protection of the right to freedom of opinion and expression in January 2000 urged
all Governments to ensure that press offences are no longer punishable by terms of imprisonment, except in cases involving racist or discriminatory comments or calls to violence. In the case of offences such as "libeling," "insulting" or "defaming" the head of State and publishing or broadcasting "false" or "alarmist" information, prison terms are both reprehensible and out of proportion to the harm suffered by the victim. In all such cases, imprisonment as punishment for the peaceful expression of an opinion constitutes a serious violation of human rights.[190]
Encryption
Encryption is illegal in Iran unless users provide the key to the authorities. Article 5.3.8 of the Rules and Regulations for Computer Information Providers, promulgated by Supreme Council for Cultural Revolution, states that usage of any form of encryption "for the purpose of exchanging information requires obtaining the permission of related authorities by registering [the means of encryption's] specifics, algorithm, and its key, as well as information about the involved parties with the Supreme Council for Cultural Revolution. Otherwise the use of encryption is not allowed."
Mechanisms of Internet Control
When asked what regulations specifically govern the Internet in Iran, the Iranian government referred Human Rights Watch to a Data Communication Company of Iran (DCCI) Web page.[191] According to these regulations, promulgated by the Supreme Council for Cultural Revolution, access service providers (ASPs) "are required to provide filtering systems to prevent access to prohibited immoral and political sites" and to "prevent indirect access through proxy servers."[192]
The council's regulations also stipulate that officers of ISPs
must be Iranian nationals with an allegiance to the Constitution of the Islamic Republic; a member of a faith recognized by the constitution; possess technical skills with the minimum required academic degree and be at least 25 years old; not have immoral reputation or a criminal conviction; not belong to an anti-revolutionary organization or support one (those who have been convicted of acting against internal or external security or are known to be acting against the Islamic Republic cannot be officers of ISPs).[193]
ISPs are further "legally liable and bound by the following rules and commitments:"
5.3.1. ISPs and their subscribers are responsible for the content they distribute on the network.
Note: 5.3.1. does not apply to providing access to news/information sources. […]
5.3.3. ISPs must implement filtering devices. Filtering standards will be provided by the Council. […]
5.3.5. ISPs are required to record all user information and IP addresses and provide this information to the Ministry of Post and Telegraph. […]
5.3.14. ISPs can only access the Internet through authorized ASPs.[194]
Regulations targeting ISPs, such as rule 5.3.1, impose a heavy and perhaps technically impossible burden on the data carrier, one that is incompatible with protecting the right to freedom of expression online. Such regulations run counter to the principle of free expression online by imposing a regulatory burden on ISPs that-to the extent that it is even feasible given the nature of data flow online-forces them into the role of censors.
Rule 5.3.5 requires ISPs "to record all user information and IP addresses and provide this information to the Ministry of Post and Telegraph." Such a disclosure requirement constitutes by its sweeping nature a violation of the right to seek, receive, and impart ideas anonymously.
The Council then enumerates what online activities are prohibited:
6. Production and dissemination of the following by ISPs and their subscribers is prohibited:
6.1. Publishing anti-Islamic material
6.2. Insulting Islam.
6.3. Publishing material that is against the Constitution or which affects the independence of the nation.
6.4. Insulting the leader.
6.5. Insulting religious sanctities, Islamic decrees, values of the Islamic revolution or political ideologies of Imam Khomeini.
6.6. Material that will agitate national unity and harmony.
6.7. Causing public pessimism about the legitimacy and efficacy of the Islamic system.
6.8. Publicizing illegal groups or parties.
6.9. Publication of government documents and material related to national security, the military or the police.
6.10. Publication of obscenity and immoral photographs and images.
6.11. Promoting use of cigarettes or drugs.
6.12. Libel against public officials and insulting real or legal persons.
6.13. Revealing private matters of persons and violating their personal sanctuary.
6.14. Publication of computer and information system passwords or methods to obtain such information.
6.15. Illegal commercial transactions through the Internet such as forgery, embezzlement, gambling, etc.
6.16. Buying, selling or advertising illegal goods.
6.17. Any unauthorized access to sites containing private information and any attempt to crack passwords or secret codes protecting systems.
6.18. Any attack on sites belonging to others for the purpose of disabling or slowing their operation.
6.19. Any attempt to intercept information over networks.
6.20. Creation of radio or television networks without the authorization and supervision of the "Sound and Vision" Organization [Sazeman Seda va Sima, which regulates Iran's broadcast media].[195]
The vague language of these provisions, particularly rules 6.1-6.9, drawn as they are from the 1986 Press Law and Penal Code, places unreasonable restrictions on free expression by effectively criminalizing any online criticism of the government.
Under rule 8, these prohibitions apply to Internet cafés and their patrons as well as to ISPs and their clients.[196] In May 2001, the government temporarily closed more than 400 Internet cafés in Tehran.[197]
Detentions
The Group Detentions of August-October 2004
Between August and November 2004, the judiciary, led by Mortazavi in his role as chief prosecutor for Tehran, started a new campaign of arrests of journalists, nongovernmental-organization activists, bloggers, and the technical staff of Web sites specializing in political news. The authorities accompanied this crackdown with increased filtering and blocking of news and information Web sites and blogs inside and outside Iran.
In August 2004, the judiciary blocked the official Web site of the Islamic Revolution Mujahedin Organization, Emrouz (http://www.emrouz.info), and the Islamic Participation Front's Web site, Rooydad (http://www.rooydadnews.com). Both of these organizations represented reformist political forces with close ties to then President Khatami's government.
On August 5, 2004, security forces detained Asghar Vatankhah, who was in charge of advertising on the Emrouz Web site. Three days later the authorities arrested a member of Emrouz's technical staff, Masood Ghoreishi, who uploaded pages to the site.
The authorities detained contributing journalists and technical staff rather than high-profile political leaders under whose names these Web sites operate. On August 15, Mohsen Armin, a spokesman for the Islamic Revolution Mujahedin Organization, expressed that group's concern regarding these arrests:
Two people working for the Emrouz Web site were detained by unknown officials and our information indicates that the motivation behind these arrests is to gain information about Emrouz Web site. Following these detentions, agents apparently operating under the authority of Tehran chief prosecutor searched the homes of the detainees and confiscated their personal computers and CDs. Ever since the filtering of Emrouz Web site, we have explicitly protested this action and have said that we are responsible for its operation. If the authorities claim to have uncovered conspiracy towards a coup, spying, or overthrowing the state, why do they not directly approach the management of the site instead of detaining its technical staff?[198]
On August 22, 2004, the judiciary detained six members of Rooydad's technical staff¾Farid Sani, Arash Naderpour, Mani Javadi, Kiavash Ghadmeli, Mozhgan Ghavidel, and Mehdi Derayati.
All were held in secret detention centers, without access to visits by their families and lawyers. The individuals detained from both the Emrouz and Rooydad Web sites were involved in providing technical assistance sites and played no role in deciding their content and postings.
During the next two months, the judiciary targeted online journalists, bloggers, and non-governmental organization (NGO) activists who used online media to express their views and arrested eight more people:
·Mahbubeh Abasgholizadeh, the editor of Farzaneh, women's rights and NGO activist, arrested at her home on November 2.
·Fereshteh Ghazi of the daily Etemad and online journalist, arrested in her office on October 28.
·Ruzbeh Mir Ebrahimi, former foreign affairs editor of Etemad, arrested on October 27.
·Javad Gholam Tamayomi of the daily Mardomsalari, arrested on October 18.
·Omid Memarian, NGO activist and blogger, arrested in his office on October 10.
·Hanif Mazroi, former journalist, arrested on September 8.
·Amir Mojiri, online journalist and blogger, arrested on September 8; and
·Shahram Rafihzadeh, cultural editor of Etemad, arrested on September 7, 2004.[199]
Authorities held all of the detainees in solitary confinement in a secret detention center. Judiciary officials gave differing reasons for these arrests. On October 12, 2004, Jamal Karimi Rad, the judiciary's spokesman, said that the detainees were accused of "propaganda against the regime, endangering national security, inciting public unrest, and insulting sacred belief." The head of the judiciary, Ayatollah Mahmud Hashemi Shahrudi, in an October 27, 2004, interview with state-run television, stated that "these people will be tried in connection with moral crimes."
The government released the detainees on bail in November and December 2004 without any charges formally filed against them. Interrogators forced four of the detainees-Omid Memarian, Ruzbeh Mir Ebrahimi, Shahram Rafihzadeh, and Javad Gholam Tamayomi-to write false confession letters as a condition for their release.[200]
In a December 11 public letter to then-President Mohammed Khatami, the father of one of those detained, Ali Mazroi-who is also president of the Association of Iranian Journalists and a former member of parliament-implicated the judiciary in the torture and secret detention of the detainees. In his letter, Mazroi wrote:
Immediately after entering the prison, the interrogator blindfolded Hanif and began interrogations. The first question posed by the interrogator was "to write down all your immoral activities and corruptions." Hanif asked the interrogator what the charges against him were. In return, the interrogator screamed at him to answer the question. Hanif said "I do not have any moral corruptions." The interrogator beat him and posed similar questions. Then, the interrogator told Hanif that according to confessions made by Derayati [another detainee], Hanif was the technical chief of the Rooydad Web site and asked Hanif to explain his activities in this regard…. The interrogation continued for nearly five days and encompassed moral corruption, illegitimate personal relationships, and even the most intimate details of family issues…. During sixty-six days of detention, Hanif spent fifty-nine days in a solitary cell with approximate dimensions of two meters by one-and-a-half meters. The only times he left his cell were for interrogations or to use a bathroom (three times daily, each time for only three minutes). The interrogator beat him on numerous occasions and applied sever pressure. … The judiciary officials never told us of the location of this prison. According to various sources, this prison is illegal and it is operated outside the supervision of the Prison Bureau. The other detainees suffered similar ill-treatment.[201]
Immediately afterward, Chief Prosecutor Mortazavi filed libel charges against Mazroi. On December 11, Mortazavi ordered the detention of three of the released detainees-Omid Memarian, Shahram Rafihzadeh and Ruzbeh Mir Ebrahimi-as witnesses for the prosecution in the case. These three and Javad Gholam Tamayomi, a journalist who has been in detention since October 18, were brought to Mortazavi's office. Mortazavi threatened the four with lengthy prison sentences if they did not deny Mazroi's allegations. They were interrogated for three consecutive days for eight hours each day. On December 14, the four detainees were brought in front of a televised "press conference" arranged by Mortazavi. That evening, government-controlled television news broadcast videotapes that showed the four saying that their jailors treated them as "gently as flowers."[202]
The detainees had been kept at a secret location one hour outside of central Tehran, where they were held in solitary confinement in small cells for up to three months. During the entire length of their detention they were subjected to torture-including beatings with electrical cables-and interrogations that lasted up to eleven hours at a stretch. Authorities denied the detainees access to lawyers and to medical care when they fell ill, and rarely permitted family visits. Interrogators often threatened detainees with the arrest of family members and friends if they did not cooperate. Their mental stress had reached such a level that many detainees had reportedly become suicidal. The apparent purpose of this treatment was to extract confessions that would implicate reformist politicians and civil society activists in activities such as spying and violating national security laws.
On December 25, Hanif Mazroi, Massoud Ghoreishi, Fereshteh Ghazi, Arash Naderpour and Mahbobeh Abasgholizadeh-all of them detained journalists-testified about their detention before the presidential commission tasked with investigating detention and ill-treatment of detainees. Fereshteh Ghazi detailed her treatment, including severe beatings that resulted in a broken nose during one interrogation session. This information became public after a member of the presidential commission, Mohammad Ali Abtahi, published these testimonies in his blog.[203] On January 1, two other former detainees, Omid Memarian and Ruzbeh Mir Ebrahimi, also appeared in front of the commission, where they confirmed details of their torture and renounced the contents of their confession letters. After their appearances before the presidential commission, Chief Prosecutor Mortazavi threatened each with lengthy prison sentences and harm to their family members as punishment for their testimony. Mortazavi continued to issue subpoenas for the journalists without specifying charges. His operatives also harassed the journalists with daily phone calls.[204]
On January 12, 2005, the head of the judiciary, Ayatollah Mahmud Hashemi Shahrudi, ordered the formation of an internal investigating committee to probe bloggers' claims of torture and ill-treatment. At a press conference on March 29, judiciary spokesperson Jamal Karimirad said that its findings had been presented to Ayatollah Shahrudi and that a final report would be made public shortly. The report was never made public.[205] As a result of the investigation, Karimarad said on April 20, all detainees had been cleared of any wrongdoing except the four online journalists and bloggers who wrote "confession letters"-Omid Memarian, Shahram Rafihzadeh, Ruzbeh Mir Ebrahimi, and Javad Gholam Tamayomi. But the judiciary's investigation failed to hold anyone in the judiciary or security forces responsible for illegal detentions, torture, and ill-treatment of detainees.
On August 13, the judiciary formally indicted the four online journalists and bloggers and said that their trial would be held soon.[206] Chief of the Tehran judiciary Abasali Alizadeh did not specify on what grounds the bloggers were being indicted.
Sina Motalebi
On December 1, 2002, journalist Sina Motalebi posted an article on his blog about the trial of Hashem Aghajari, a university professor who was sentenced to death in November 2002 after he criticized aspects of Iran's clerical rule.[207] Between January and April 2003, judiciary officials summoned Motalebi numerous times. Motalebi told Human Rights Watch that he was repeatedly interrogated about his postings advocating the cause of detained and imprisoned writers. The judiciary agents told him that his postings amounted to "disturbing the public opinion" and "propaganda against the judiciary."[208]
On the evening of April 19, 2003, judiciary agents contacted Motalebi and told him he should report to their offices the next morning. On the morning of April 20, Motalebi presented himself at Imam Khomeini Judicial Complex in Tehran, where he was promptly detained on the order of Judge Jafar Saberi Zafarghandi.
Judiciary agents detained Motalebi in a secret location in solitary confinement in a small room. He was repeatedly interrogated regarding his postings on his blog and accused of "acting against national security." His interrogator asked him to "list all illegitimate and illegal activities that you have ever committed including all your communications and connections with counter-revolutionary forces abroad."[209]
Though no charges had been brought against him, the judiciary released Motalebi on May 12, 2003, only after he posted bail in amount of 300 million rials (U.S. $37,500). Officials continued to harass him. In November 2003, after Shirin Ebadi had won the Noble Peace prize, judiciary agents summoned and interrogated Motalebi regarding a congratulatory letter to Ebadi that he had signed; they also continued to threaten harm to his family.[210]
In December 2003, Motalebi left for Europe where he sought asylum. In June 2004, he recalled his experiences at a joint press conference held by Human Rights Watch and Reporters sans frontières. The judiciary responded by arresting his father, Saeed Motalebi. On September 8, 2004, judiciary agents arrested Saeed Motalebi and charged him with "assisting the escape of an accused person," an apparent reference to his son's departure from Iran, despite the fact that Sina Motalebi left Iran legally.[211] Saeed Motalebi was detained for 10 days in a secret detention center before being released. His trial, held on November 15, 2004, has not yet produced a verdict.[212]
Mojtaba Lotfi
Mojtaba Lotfi, a student of Islamic jurisprudence in Qom, might seem an unlikely candidate to be imprisoned for his online journalism. But Lotfi is a member of the editorial board of the news Web site http://www.naqshineh.com, which the government of Iran has blocked since March 2004 on the orders of the Qom authorities.[213]He had previously written for the reformist newspaper Khordad, which authorities closed in 1999.
Lotfi was detained in May 2004 after posting an article on http://www.naqshineh.com headlined "Respect for Human Rights in Cases Involving the Clergy."He was released two-and-a-half months later after posting 650 million rials ($81,250) bail.[214]During his detention, he was held in solitary confinement for twenty daysand was not allowed to meet with his family or lawyer.[215]
On August 14, 2004, the Special Court for the Clergy in Qom sentenced Lotfi to forty-six months in prison on charges of "disseminating lies," "activities against the government," and "revealing state secrets."[216] He appealed, but on February 5, 2005, an appeals court upheld the sentence, and he was imprisoned.[217]
On August 28, 2005, after six months in prison, Lotfi was granted a three-day furlough to attend a religious festival with his family. At the end of the three days, he received a call saying he need not return to prison. His health, already poor from having been gassed in the 1980-1988 Iran-Iraq War, had reportedly deteriorated while he was in prison.[218]
Mohammad Reza Nasab Abdullahi
On February 23, 2005, following a closed-door trial held without his lawyer, Mohammad Reza Nasab Abdullahi was sentenced to six months in prison on appeal for insulting the Supreme Leader and spreading anti-government propaganda. He was imprisoned five days later. Abdullahi, a university student, human rights activist, editor of a student newspaper, and blogger in the central Iranian city of Kerman, served six months in an Iranian prison for posting an entry on his blog, Webnegar ("Web writer") at http://www.iranreform.persianblog.com. The offending post, titled "I Want to Know," was addressed to the Supreme Leader Ayatollah Khamenei and criticized the government's repression of "civil and personal rights and liberties."[219]
On March 2, Abdullahi's wife, 26-year-old university student Najmeh Oumidparvar, was arrested in her home. She had posted messages from her husband on her own blog, http://www.faryadebeseda.persianblog.com. On the eve of her arrest, she had given an interview to the German radio station Deutsche Welle. She was four months pregnant. After twenty-four days in custody, Oumidparvar was freed on bail.[220]
Mojtaba Saminejad
In October 2004, Mojtaba Saminejad was a 25-year-old Tehran journalism student who maintained the popular blog, http://www.man-namanam.blogspot.com. On October 31, 2004, after Saminejad reported the arrests of three other bloggers, judiciary agents arrested him and held him in solitary confinement for eighty-eight days. The government released Saminejad on January 27, 2005, after setting bail for 500 million rials ($62,500).[221]
Soon after his release, Saminejad started a new blog called Stijeh, at http://www.8MDR8.blogspot.com. Judiciary agents detained him again on February 12, 2005, and his bail was tripled to 1.5 billion Rials ($187,500)-a price too exorbitant for his family to pay.[222]
On May 16, 2005, Saminejad wrote a letter to the chief justice of the Islamic Revolutionary Court saying that he had spent three months in solitary confinement under intense pressure, and requesting to be released.[223] On May 20, he faced trial behind closed doors.[224] According to his lawyer, Mohammad Seifzadeh, Saminejad was charged with: "insulting Imam Khomeini and the Supreme Leader, Ayatollah Khamanei;" "acting against national security by disseminating rumors and lies;" "insulting the sacred tenets of Islam;" "disturbing public opinion by publishing untrue statements;" and engaging in "illegitimate relationships and encouraging vice and immoral activities." Lawyer Seifzadeh said that the last charge concerned a photograph taken of Saminejad and his classmates while they were on a hiking trip.
On June 7, 2005, Saminejad was sentenced to two years in prison for "insulting Imam Khomeini and the Supreme Leader Ayatollah Khamenei." Although he was cleared of the other four charges against him, the judge found that he would have to stand trial for the more serious charge of "insulting the Prophet and his family." Saminejad was charged with apostasy, a capital offense under article 512 of the Penal Code.[225] He was acquitted of this last charge on June 21, but remains in Rajaii Shahr prison amid housed with violent criminals.[226]
Arash Sigarchi
Arash Sigarchi, former editor of the daily Gilan Emrouz, maintains a blog called Panjareh Eltehab ("Window of Anguish") from his home in the northern city of Rasht.[227] His online writings were often critical of the government and he frequently protested the detention of other Iranian bloggers. On January 16, 2005, days after he had given interviews to BBC World Service and the U.S.-based Radio Farda, he was summoned to court and interrogated. The next day, agents of the Ministry of Intelligence arrested him.[228]
On February 2, the revolutionary court in the northern province of Gilan sentenced Sigarchi to fourteen years in prison, but made its ruling public only on February 22. Charges included espionage, "aiding and abating hostile governments and opposition groups" by giving interviews to the U.S.-based Radio Farda, endangering national security, and "insulting Imam Khomeini and the Supreme Leader Ayatollah Khamenei." The court based its decision on a report by the Intelligence Ministry agents who arrested Sigarchi.
Sigarchi's trial violated international standards for fair trials. It was held behind closed doors and in the absence of his lawyer-indeed, he was not allowed to meet with his lawyer for months after his arrest.
Sigarchi's lawyer, Mohammad Saifzadeh, told Human Rights Watch that his client's summons, arrest, and the search and seizure of his personal documents were marked by numerous irregularities and illegal actions. Authorities released him on March 16, 2005, after he posted 1 billion rials ($125,000) in bail. He has appealed his conviction.[229]
After his release, Sigarchi told reporters that the only evidence presented against him was
a few selected postings from my blog, selected transcripts of my interviews with Radio Farda reporters, and a few of my journalistic writings… During the trial, I did not have the right to a lawyer. The judge and the court officer explicitly told me there was no need. They encouraged me not to hire a lawyer so my problem could be resolved more easily. But after they issued my sentence, I asked my brother to hire a lawyer.[230]
Thereafter, Sigarchi was represented by three prominent Iranian human rights lawyers: Shirin Ebadi, Parviz Jahangard, and Mohammad Seifzadeh.
At his June 9, 2005, appeal hearing, Sigarchi's lawyers rejected all the charges against him and argued that the lower court's decision was illegal and unsupported by any evidence. The appeals court has yet to issue its ruling.[231]
Censorship
Over the course of September 2005, researchers from Human Rights Watch and the Open Net Initiative (ONI), assisted by Iranian bloggers, tested 3,146 Web sites from Iran. Using the methodology described in the introduction to this report and in ONI's other reports on Internet censorship around the world, researchers tested four categories of sites:
- A list of "high impact" sites reported to be blocked or likely to be blocked in Iran because to their content;
- A "global," or control list of sites reflecting a range of Internet content, (including, for example, major news sites and sites about "hacking");
- A list of Iranian blogs;
- Previous tests indicated that Web site filtering in Iran was likely accomplished by software called SmartFilter, produced by the U.S.-based Secure Computing. Secure Computing did not dispute these results at the time, but denied having sold the software to Iran.[232] A fourth list, comprised of sites known to be blocked by this software, was included in this round of testing in order to test whether the government was still using SmartFilter to block Web sites.
In Iran, attempts to navigate to a blocked Web site immediately return a page saying that access to the site is "forbidden" or "denied." The page varies depending on the ISP used. A few samples, sent to Human Rights Watch by Iranian Internet users, follow:
The second example above strongly suggests that Iranian ISPs continue to use SmartFilter to block Web sites.
In mid-October 2005, researchers tested 3,146 sites from a location within Iran connected to the Internet via TCI, the country's most popular ISP. Of the 3,146 sites tested, 718 were found to be blocked.
Researchers tested 643 Iranian blogs and found 129 blocked. Twelve were inaccessible for other reasons. Researchers further compiled a list of fifty-four Web sites associated with opposition political groups. Of these, twenty-one were blocked. Of the forty Web sites researchers tested that offer anonymous, unfiltered web browsing via a proxy server outside Iran, sixteen were confirmed blocked. Commercial Web sites featuring sexual material or dating services were extensively blocked.
Among the sites blocked for their political content were:
- http://www.womeniniran.net, a Web site dedicated to women's rights, and to social, economic, and political issues pertaining to women in Iran.
- http://www.iftribune.com, the Web site of the Women's Cultural Center, an independent and non-governmental organization in Tehran.
- http://www.womeniw.com, an Iran-based Web site dedicated to combating all forms of discrimination, but particularly discrimination against women.
- http://www.irwomen.com, the Web site of the Iranian Women's Center, which provides news and analysis on issues of particular interest to women from a cultural and literary perspective.
- http://www.radiofarda.com, the Web site of Radio Farda, a Farsi station produced by Voice of America.
- http://www.nitv.tv, the Web site of the U.S.-based National Iranian TV, which broadcasts into Iran via satellite.
- http://www.rooydad.com, a Farsi-language news site that provides news, opinion, and commentary about the Iranian government with a reformist slant and provides links to other reformist sites.
- http://www.iranvajahan.net, a London-based monarchist Web site.
- http://www.iranian.com, a U.S.-based site operated by and for expatriate Iranians.
- http://www.iran-emrooz.de/, a Farsi-language, online political magazine that publishes articles by Iranian reformists and dissidents.
- http://www.peiknet.com, a Farsi-language news and opinion site that frequently publishes critical articles about the government.
- http://www.roshangari.com/, which features news, opinion, and commentary in Farsi and English from a reformist angle.
- http://www.kayhanlondon.com/, the online version of Kayhan London, a newspaper published by Iranian exiles. It is not related to the Kayhan published in Iran.
- http://www.hoder.com/, http://www.editormyself.com/, and http://sobhaneh.org/, Popular political blogs run by Hossein Derakhshan, a Toronto-based Iranian blogger and online free-expression activist. They are available in English and Farsi. Derakhshan was among the first Farsi-language bloggers and is credited with first adapting blogging software to support Farsi easily.
- http://z8un.com/, another popular Farsi-language blog that covers politics and social issues, it has been online since 2002.
- http://www.zananeha.com/, a Farsi-language, feminist blog that frequently criticizes the government.
- http://www.cappuccinomag.com/, an online news and opinion magazine covering politics, society, arts, and entertainment.
- http://mithras.org/, a political blog that has reported news of political arrests and executions.
- http://www.rezapahlavi.org, the official site of Reza Pahlavi, the son of the late shah.
- http://www.farahpahlavi.org, the official Web site of Farah Pahlavi, former Shah Mohammad Reza Pahlavi's widow.
- http://www.pdk-iran.org/, the Web site of the Democratic Party of Iranian Kurdistan.
- http://www.nehzateazadi.org, the official site of the Freedom Movement Party, whose members have been jailed and disqualified from running in elections.
- http://www.montazeri.com, a Web site promoting views of Ayatollah Hussein Ali Montazeri, a grand ayatollah who ran afoul of Ayatollah Ruhollah Khomeini prior to the latter's death in 1988, and who has been under house arrest since 1997 for criticizing unaccountable rule of the Supreme Leader. http://www.montazeri.net was also blocked, though http://www.montazeri.ws was not.
- http://www.mellimazhabi.org, the official site of Melli-Mazhabi opposition party, the members of which have been subject to harassment and arrest in Iran.
- http://www.marzeporgohar.org, the Web site of the Marze Por Gohar Party, which describes itself as "for a secular Iran." The group was active in the 1999 student demonstrations.
- http://www.komala.org, the Web site of the Komala Party, a banned Iranian Kurdish political party.
- http://forouharha.com, a Web site dedicated to Parvaneh and Dariush Forouhar, prominent opposition figures who were killed in their home by Iranian Intelligence officers on November 22, 1998.
- http://akbarganji.net, dedicated to Akbar Ganji, a high-profile Iranian investigative journalist who has been in prison since April 22, 2000, following his arrest for participating in a conference in Berlin. Ganji has gone on prolonged hunger strikes several times to protest his treatment in prison.
- http://www.alijavadi.com/, http://www.wpiran.org/, http://www.tudehpartyiran.org/default.asp, http://www.toufan.org/, http://www.kargar.org/, http://www.fadai.org/, http://www.iransocialforum.org/, Web sites of Iranian Leftist groups, politicians, and political parties.
- http://www.banisadr.com.fr/, the official site of Abolhassan Banisadr, Iran's first president after the 1979 revolution. He has become an opposition figure and lives in France. He publishes articles criticizing the Iranian government.
- http://www.entezam.org/, a Web site dedicated to Abbas Amir Entezam, the longest-serving political prisoner in Iran. Entezam was deputy prime minister and government spokesman of Iran's provisional government after the revolution in 1979.
- http://www.iran-e-sabz.org/, the official site of the Green Party of Iran. The Green Party of Iran is a political party founded to defend Iran's environment and to advocate for "political, economical, social, and cultural freedom."
- http://www.jebhemelli.net/, one of many sites belonging to the Iranian National Front Party (INFP). The INFP "strives to establish a democratic system based on the will of the Iranian people," and seeks to "establish individual liberties and social freedoms."
- http://www.kurdistanmedia.com/, the Web site of the Democratic Party of Iranian Kurdistan. The site provides news, information, opinion, and commentary about Iran and its Kurdish population.
- http://iranncr.org, a Web site of the armed Iranian resistance group the Mojahedin Khalq Organization (MKO), also known as the National Council of Resistance of Iran. Iranian Internet users reported that the organization's other Web sites are also blocked.
- http://reference.bahai.org/fa, a Persian-language Web site dedicated to the teachings of the Baha'i faith.
- http://www.irantestimony.com, which presents human rights news from Iran and collects testimony from victims of human rights abuses.
It should be noted that these results constitute a "snapshot" of the Iranian Internet in October 2005. Sites reported blocked at the time of our testing may no longer be blocked. Likewise, sites that were available during our tests may no longer be available.
Conclusion
Iran is experiencing a boom in Internet use. This, in turn, has opened a new space for ordinary Iranians to express themselves and to transmit and receive information. But repressive legislation and regulations and a rash of detentions of online writers amount to what the Open Net Initiative has called "one of the world's most substantial Internet censorship regimes."[233]
To comply with its obligations to protect free expression under Iran's constitution and international human rights treaties it has signed, the Iranian government should:
- Access: Continue investing in improving Iran's Internet infrastructure. The explosion in self-expression the blogging phenomenon has heralded in Iran would not have been possible without the underlying infrastructure that allows the Internet to operate.
- Detentions: Release Mojtaba Saminejad immediately and unconditionally, and appoint an independent commission to investigate those responsible for the extensive illegal detention of journalists and online writers over the course of 2004-2005, and to recommend appropriate penalties for those responsible for these illegal detentions within the framework of Iranian law and international human rights standards.
- Censorship: The Iranian government should cease blocking Web sites that carry material protected by the rights to free expression and free information, including, but not limited to: http://www.womeniniran.net, http://www.iftribune.com, http://www.womeniw.com, http://www.irwomen.com, http://www.radiofarda.com, http://www.nitv.tv, http://www.rooydad.com, http://www.iranvajahan.net, http://www.iranian.com, http://www.iran-emrooz.de/, http://www.peiknet.com, http://www.roshangari.com/, http://www.kayhanlondon.com/, http://www.hoder.com/, http://www.editormyself.com/, and http://sobhaneh.org/, http://z8un.com/, http://www.zananeha.com/, http://www.cappuccinomag.com/, http://mithras.org/, http://www.rezapahlavi.org, http://www.farahpahlavi.org, http://www.pdk-iran.org/, http://www.nehzateazadi.org, http://www.montazeri.com, http://www.montazeri.net, http://www.mellimazhabi.org, http://www.marzeporgohar.org, http://www.komala.org, http://forouharha.com, http://akbarganji.net, http://www.alijavadi.com/, http://www.wpiran.org/, http://www.tudehpartyiran.org/default.asp, http://www.toufan.org/, http://www.kargar.org/, http://www.fadai.org/, http://www.iransocialforum.org/, http://www.banisadr.com.fr/, http://www.entezam.org/, http://www.iran-e-sabz.org/, http://www.jebhemelli.net/, http://www.kurdistanmedia.com/, http://iranncr.org, http://reference.bahai.org/fa, http://www.irantestimony.com
- Laws and Regulations: The Iranian government should strike rules 6.1 through 6.7 and 6.20 of the DCCI's regulations for Internet use in Iran. Prohibitions against "publishing anti-Islamic material," "Insulting the Leader," publishing "material that will agitate national unity and harmony," or "causing public pessimism about the legitimacy and efficacy of the Islamic system" serve to criminalize the peaceful exercise of the right to free expression. The Iranian government should seek to pass legislation that provides strict guarantees of the privacy of electronic communications. It should further seek to pass new laws that affirmatively protect the right to freely access or disseminate information or opinions and clarify the narrow circumstances in which government interference would be warranted according to international standards.
Syria
"The Internet is the only way for intellectuals to meet and share ideas in Syria today."
-Aktham Na`issa, president of the Committees for the Defense of Democratic Liberties and Human Rights in Syria[234]
"What I want to say to you, my friend…is that you and your friends are being watched constantly. They're watching you as you walk in the street and in your daily life. They're watching you as you talk on your home phone, on your mobile, and on the Internet. Don't be too surprised if they're watching you in your sleep, in your dreams, and in your silence. Don't be surprised if they've come into your bed at night."
-E-mail from one Syrian human rights activist to another, 2005[235]
Many Syrians hoped that Bashar al-Asad, who succeeded his father as president in July 2000, would bring a new era of openness to Syria and to the Syrian Internet. In his inauguration speech, he spoke of the need for "creative thinking," "the desperate need for constructive criticism," "transparency," and "democracy."[236] Before he became president, the only formal title he had ever held was chairman of the Syrian Computer Society (SCS). `Amr Salim, a co-founder of the SCS, told reporters in March 2005 that Bashar al-Asad "wanted us to start evangelizing the Internet at a time when it was unthinkable."[237]
Syrian intellectuals, taking courage from the government's quick release of 600 political prisoners, began to call more openly for reform. "By January 2001," one leading reformist recalled, "It was like a fashion. Every week you heard an announcement of the opening of a new civil society forum."[238] It did not take long for this "Damascus Spring" to turn into a "Damascus Winter." Key leaders in the nascent civil society movement were arrested in September 2001, weeks before the passage of a restrictive new Press Law. By fall 2002, continued arrests and a crackdown on the forums had all but eliminated the hopes reformers had nurtured for the new president.
Today, the Syrian government relies on a host of repressive laws and extralegal measures to suppress Syrians' right to access and disseminate information freely online. It censors the Internet-as it does all media-with a free hand. It monitors and censors written and electronic correspondence. The government has detained people for expressing their opinions or reporting information online, and even for forwarding political jokes by email. Syrian bloggers and human rights activists told Human Rights Watch that plainclothes security officers maintain a close watch over Internet cafés.
Against the background of Syria's monolithic state press-which former Interior Minister Ghazi Kan`an characterized as "unreadable" soon after his appointment in October 2004-and Syria's record of threatening, detaining, and torturing people for expressing their opinions, the Internet has opened a small space for freedom of expression.[239] Faced with an absence of independent news media, and with laws that criminalize any gathering of more than five people, Syrians have taken to the Internet to exchange information and express themselves, however cautiously.
Testing the Limits of Repression
Ayman `Abd al-Nur, an economist, Ba`ath Party member, and childhood friend of President al-Asad, knows something about online censorship in Syria. In a recent telephone interview, `Abd al-Nur told Human Rights Watch that he started the Web site http://www.all4syria.org in May 2003 because "I realized that Baghdad was the second step after Afghanistan. I wanted to launch a platform to promote intelligent dialogue to prevent Damascus from becoming the third."[240]
The site quickly became a forum for Syrian groups, thinkers, and expatriates to exchange ideas. `Abd al-Nur's writings have criticized officials by name, sometimes calling for their dismissal outright and listing their mistakes to justify his recommendations. In February 2004, `Abd al-Nur found his site blocked.
The day `Abd al-Nur found his site blocked, he marshaled his list of approximately 1,700 email addresses and sent them the first of his daily bulletins. `Abd al-Nur told Human Rights Watch that he knew his emails were being blocked when he started receiving complaints from people who had not received the bulletins. When `Abd al-Nur tried to log in to his email two days later, he received a message saying, "You are not permitted to enter." `Abd al-Nur then created a new email address and sent the bulletin out from that address. The next day, that address was blocked. So he created a new one. And so it went for forty days, `Abd al-Nur said, "Until the government got tired of trying to guess what address I was going to use next. They couldn't keep up, they couldn't read my mind."[241]
By October 2005, `Abd al-Nur said his list of subscribers had swelled to 16,000, two-thirds of them in Syria. "We cross all the red lines," he said. "We attack the security apparatus, Military Intelligence, even officials in the Presidential Palace. There are no more taboos."[242]
The Internet, he said, has "given Syrians free speech. It has expanded the range of topics people can read about. It has created a new, open atmosphere." The aim, he said, was to "put tough questions to the government, to put it under some pressure."[243]
`Abd al-Nur remains loyal to the Ba`ath Party, but he worries that the old guard is "out of date."[244] The purpose of All4Syria.org, he said, is "to promote the sense of freedom of speech, to open dialogue. It strengthens the community. When people see that they can participate in the dialogue, they will defend their society."[245]
`Abd al-Nur explained to one interviewer why he had been censored but not treated more harshly:
For a simple reason: let us assume now that we have a PC and we surf the Internet. We go to those opposition sites and what do we see? "The al-Asad family is very corrupt and we have to change them or kill them. The Alawites [a minority Shi`a community that in Syria has supplied many senior military officers and politicians in the Ba`ath government, including the al-Asad family] are running Syria and we should finish them off. We need freedom of speech and to free political prisoners. The corruption in Syria must end. The Ba`ath is very bad-we should abolish it." You go to my Web site and you see: "This is the official, this is his name, he did this, made this decision, which is wrong because of this, and because of his wrong decision he will impact this sector in this way. The president sent this delegation, and they are underqualified and should be changed and replaced with the following people," and I list them….
If the average person reads the opposition Web sites, they think, "We will not endanger our lives with these Utopians." There is no concrete or useable information against the officials in the opposition Web sites. "All4Syria" is actually much more scandalous because those in the government who employ these idiots will see how badly qualified they are and figure out with whom they should be replaced.[246]
`Abd al-Nur is sanguine about the Internet's ability to bring about change in Syria. With the Internet, he recently told Human Rights Watch, "We will be able to create a new era of freedom and openness, to ask tougher questions of the government. The Internet helps people organize, to find others who share their ideas who didn't have a chance to publish in the state press, to know there are others who share their ideas."[247]
Others less well-connected are more circumspect. As Ayman Haykal, a 25-year-old medical student and the head of the Syrian Bloggers Association, put it, "You start writing something and then you think about it: Maybe I'll be misunderstood. So you go backspace, backspace, backspace."[248]
A recent academic survey of ninety-one bloggers in Syria, Lebanon, and Jordan found that 80 percent practiced some form of self-censorship. Nine out of twenty bloggers cited "political reasons and fear of state repression" as the reasons why they censored their own writings on politics.[249]
Some have found a refuge of sorts in English-language blogs. One anonymous blogger cited in the study wrote,
I think that in the Middle East, there is almost never honest talk about politics. People are afraid to say things openly. On blogs they can say almost whatever they like. I see blogs from Syria where they say all sorts of terrible (but true) things about the al-Asad family in English that they could never say in Arabic online or in person. It lets people tell the truth openly with less fear than other media forms.[250]
"There is now a wider margin for freedom of expression," Ayman Haykal told one interviewer. "Most of the political blogs are in Arabic by anonymous bloggers. Some have two blogs-a cultural one in English and a political one in Arabic under a fake name. The power of blogging also lies in the possibility of being anonymous."[251]
Others are using technical means to combat government censorship. "At first we used sites that offer free, anonymous browsing that overcame the firewall," one Syrian blogger, speaking on condition of anonymity, told Human Rights Watch by email. "But soon those sites were also blocked. So we (the tech people) tried to search for an alternative. This came in the form of anonymity software like HTTPtunnel, Socks2HTTP, CCProxy, and the like." While some of these programs require paid licenses, pirated copies are easy to find. Demand for the software is reportedly so strong that some Syrians have been able to turn installing software available on a free or trial basis into a job. They reportedly charge people up to 5000 Syrian pounds (US$100)-steep prices in the Syrian market-for installing the software. And, since "most of the time they install the trial versions, after 30 days people will have to pay…another 5000 [Syrian pounds] to 'reactivate.'"[252]
Another Syrian blogger noted that the Syrian government had taken steps to combat this, but "most of the time, they were unable to keep up with the rapid improvements to the software made by its original developers."[253]
Syrian Internet users said they also used other means to get around the controls the Syrian government has placed on the Internet. At many Internet cafés, customers can request to use "the Lebanese server"-that is, a connection via a long-distance phone call to a Lebanese ISP not subject to Syria's Internet restrictions-for no extra charge. Indeed, Syrians had connected through Lebanese and Jordanian ISPs before the government officially allowed the Internet into the country.[254] If caught, those connecting through ISPs in neighboring countries face fines and the possibility of their phone lines being cut, but the practice is reportedly common nonetheless.[255]
New communications technologies are sabotaging the Syrian government's state information machine. "Before satellite TV and the Internet," prominent Syrian human rights lawyer Anwar al-Bunni said recently, the government could successfully tar human rights activists as "traitors."[256]
Since the introduction of these new technologies, people have alternative sources of information and so regard such campaigns with more suspicion. "On the front page of the [government-owned] newspaper, al-Thawra, they accused me of agitating for human rights while ignoring national rights. But that hasn't made a dent in my credibility. In fact the exact opposite happened: ten articles appeared on the Internet in support of me," al-Bunni said.
Armed with technologies that afford a degree of privacy and the strength of numbers, Syrians are finding new spaces to express themselves. Several Syrian bloggers, echoing Ayman `Abd al-Nur, spoke of the Internet's importance in helping them find others who shared their ideas. One, writing on condition of anonymity, told Human Rights Watch:
I was first introduced to few Syrian bloggers by a friend. At first, I didn't understand what the connection between them was, but it was obvious that they were all highly intellectual people...the kind you don't meet every day! But at the same time they seemed so different from each other. Eventually I found out that they didn't know each other before becoming bloggers. So I was invited to become a Syrian blogger, and I happily decided to become one. I guess I started blogging to get access to exceptional individuals, I mean to their thoughts and ideas about what's going on here and the rest of the world-you know-things you wont hear about on national TV or local newspapers, AS THEY'RE ALL CONTR[OL]LED IN ONE WAY OR ANOT[H]ER BY THE GOVERMENT! We sure know their side of EVERY story! [emphasis in original][257]
Another told Human Rights Watch that he strongly believed the Internet is opening a new space in Syrian society.
Sometimes it's hard to talk about serious issues without being hushed…But now it's much easier to find people with similar interests, someone who'd be glad to hear what you have to say and give you some feedback...At least people can talk now, knowing that in one way or another they're being heard. I know that the government and the high authorities will do everything they can to stop the change. But I am sure a day will come when it will be way over their tiny empty heads![258]
Given Syria's record of imprisoning people for what they have written online, it is no surprise to hear `Amr Faham, a civil engineering student who keeps http://www.syriahiking.blogspot.com, say, "Many people are still afraid. They are worried that it's a trick-let people talk and then get them."[259]
But even those who know all too well the reasons to be afraid speak of the importance of Internet in Syrian society. For thirty years, Aktham Na`issa has written articles and spoken out against human rights abuses in Syria. The authorities have arrested him six times for publicly demanding respect for human rights. The government has held him incommunicado and tortured him. He is currently not allowed to travel abroad. His family has been threatened and harassed. "In Syria," he told Human Rights Watch, "all meetings are outlawed. According to the Emergency Law, any meeting of more than five people is banned without prior permission. In these conditions, the Internet is the only way to communicate." The government was doing its best to control this new means of communication, he said, "But there are so many Web sites, so many emails, they can't keep up with us… For the intellectuals, it's the only means of communication."[260]
Lawyer Anwar al-Bunni echoed these sentiments: "The Internet has become the only means of communication. There is a lot of censorship and obfuscation in the Syrian press."[261]
"I am under the usual pressures," al-Bunni told Human Rights Watch. "Six orders have been issued to bar me from the Lawyers Syndicate."[262] The government has prevented him from traveling. Security officials regularly call him in for questioning. "They send an officer with a letter inviting us to come in for an interview," he told Human Rights Watch. "They treat us reasonably well. They tell us the country is under attack, that they don't want us to help with that attack. They tell us they don't want us to end up in prison. They say, 'you don't know what's waiting for you in prison.'"[263]
Others, faced with threats against their families, choose to leave Syria if they can. Over the course of 2005, reformist and blogger `Ammar `Abd al-Hamid was "invited" to visit Political Security interrogators three times and Military Intelligence five times because of his blog, http://amarji.blogspot.com, which featured mordant criticism of the president and Ba`ath Party rule. `Abd al-Hamid told Human Rights Watch that the interrogations focused on his writings for Beirut's English-language Daily Star, his time as a visiting fellow at the Brookings Institution in Washington, DC, in 2004, and on the activities of the Thawra Project he founded "to provide a free platform for the discussion and dissemination of ideas that can contribute to raising standards of civic awareness in the broader Middle East and North African region."[264]
"The man I speak to is very upfront in saying that he doesn't have confidence in what I do but at the same time he respects my sense of patriotism," `Abd al-Hamid told a journalist in early September 2005. "He basically says 'Big Brother is watching you.'"[265]
He elaborated on what happened in the interrogations in an email to Human Rights Watch:
I think they really wanted to smack me, but they did not have the authority to do it. I made quite certain to tell them that my activities and views were known to the president, and they were. The president did not approve of or like my activities, I admitted, but he knows not to bother me.
So, my strategy was to push the matter upward, because I knew, or hoped, that the people above would be better at estimating the political risk involved in harassing someone in my position. The strategy worked. I got called in by [Gen.] Assef Chawkat (General Dashing in my blog) in mid-March [Chawkat is head of Military Intelligence and the husband of the president's only sister]. He had earlier attempted to send me a message through my mom (a known actress), which I ignored.
So, we met at his office. My wife insisted on showing up with me, and this took him by surprise, but he received us both. This was the first of two meetings. Threats and attempts at bribery and cooptation were the main features throughout. The second meeting in particular was a bit sharp. He threatened me with 15-to-life in prison, he then suggested that I could become a minister or an ambassador. I scoffed at both attempts and offered to stop writing for a while, and suggested that I might even leave the country for the time being, and that was that.[266]
In 2005, faced with harassment and threats, `Abd al-Hamid chose to leave Syria and continue blogging. On September 8, 2005, he began what he has called his "exile" in the United States.
Access to the Internet
Until the mid-1990s, Syria banned even the import of fax machines and computer modems. In 1997, Syria established a link to the Internet for a limited number of government ministries and state-owned companies. The next year, businesses and professionals were allowed to subscribe to a service that gave them access first to email, then the Internet. Only in 2000 were Syrian citizens allowed to apply for Internet access. Syrians could also access the Internet at the arrival and transit halls of the airport in Damascus, at the Asad National Library, and at two Internet cafés in Damascus.
In a 1999 article SCS co-founder `Amr Salim sympathetically explained Syria's "cautious" approach to the Internet:
In order for President [Hafez] al-Asad to feel comfortable promoting a particular technology, it must meet the following criteria:
1.It should benefit the majority of the Syrian people. Technology geared toward the elite is not favored because such people have the resources and means to get what they want without government assistance.
2.It should not disrupt the social structure or adversely affect the middle class, and should be within the means of the masses.
3.It should have a direct impact on Syria's overall social and economic development.
4.It should not jeopardize Syrian independence or security concerns.[267]
In January 2005, Best Italia started offering Internet service in Syria via a satellite link. Such services are expensive, however, and cater to embassies. Syria has recently overhauled its public data network, or "backbone" Internet infrastructure. According to a European computer engineer who worked on the project, the new network is "better and specifically more open," but the government would "keep tabs on things" through its control of the public data network and the international gateway that links the Syrian network to the rest of the world.[268]
Currently, there are three ISPs that offer service to the general public: the government-owned Syria Telecommunication Establishment (STE); the government-funded SCS Network, which until April 2005 was open only to members of Syria's professional syndicates; and, as of September 2005, Aya, which bills itself as "the first fully private ISP in Syria" and is owned by Muhammad Hamshu, a Syrian entrepreneur known for his close ties with the president. Other private ISPs were reportedly in the process of setting up their operations or obtaining licenses to operate. While Syrian consumers will likely soon enjoy the benefits of a competitive market place for Internet service, the government apparently intends to maintain its control over data communications within the country as well as coming into and leaving the country via its control of the international gateway and the public data network. On September 15, 2005, soon after Aya began operating, Syrian blogger al-Ahyam Salih reported that the new private ISP was filtering content.[269]
Syrians looking to subscribe to Internet service via the STE must bring a copy of their identity card and a printed copy of their application form to the Customer-Care Center between the hours of 8:30 a.m. and 2:30 p.m. The application form requires them to provide their name, their parents' names, their nationality, their government-issued identification number, the date and place of their birth, their profession, and their username and password. The choices for professions are "educational institute, governmental, personal, industrial, professional, syndicate, organizational, commercial, or other"-a legacy, perhaps, of the recently abandoned preference for these professions in approving applications for Internet use.[270] Fees were 2,000 Syrian pounds (U.S.$40) a month plus 1 Syrian pound ($0.02) a minute for a dialup connection. The SCS offers twenty-seven hours of service a month for 500 Syrian pounds ($10) (400 Syrian pounds, or $8, for SCS members), 250 Syrian pounds ($5) a month for thirteen hours (200 Syrian pounds, or $4, for SCS members), or "pay as you go" service for 36 Syrian pounds ($0.72) an hour.[271] These rates make Internet access too expensive for many Syrians.
Despite these barriers, the number of users in Syria has grown quickly since the government first opened access. Current estimates put the number of Syrian users at around 500,000.[272] The growth has been driven by strong popular demand and a marked shift in government policy that now recognizes the need to spread access while seeking to maintain control of Internet communications technologies. The Arab Advisors Group, an Amman-based business consulting firm, projects that the number of Syrian Internet users will grow at a compound annual rate of 24.9 percent between 2004 and 2009, meaning that 2.5 percent of the population, or 1.7 million people, may be online in 2009, up from less than one percent in 2004.[273] So many Syrians are going online that service on the main government-affiliated ISPs has reportedly suffered. The government has focused its efforts on building the new public data network rather than improving the existing system. Better service on the public data network will likely further attract people to the new, private ISPs as they come online.
In response to a query from Human Rights Watch, the Syrian ambassador to the United States, Imad Moustapha, outlined the government's efforts to make the Internet more widely available:
The government of Syria recognizes that widespread access to the Internet is restricted by the economic conditions of the Syrian people. The Syrian Ministry of Sciences and Technology has launched a national initiative in which lower-income families can buy an Internet-enabled PC for a relatively low price (U.S.$400) paid in twenty installments (The Popular Computer Project). A national Information Superhighway Project is supposed to increase the level of competition among ISPs, thus driving down access costs down.
The Ministry of Education has invested a huge amount of resources (human and financial) in order to introduce the Internet to every Syrian elementary and secondary (high) school. It has also incorporated the use of the Internet and computer-related skills into its national curriculum.
Every cultural center in Syrian towns and villages has a free-access Internet Room for citizens to access the Web free of any charges. FODOS, a Syrian NGO, has a number of mobile Internet units (buses converted into Internet access centers) that move from one village to another, particularly in the remote and less-developed countryside. At every station (village) the technicians accompanying the mobile Internet unit offer free tutoring and access to the Internet. This project has been very successful, and an increasing number of members of the business community are donating money towards increasing the number of these units.[274]
Internet Cafés
Internet cafés are now common in Damascus. The Syrian government told Human Rights Watch that there was "no legislations [sic] addressing the legal issue of whether Internet café owners/managers are legally responsible or not for the material sent or received at their premises," but acknowledged that there were "a number of municipal regulations specifically applicable to the licensing and operation of Internet cafés."[275]
Syrian Internet users report that they can access the Internet from the cafés without having to show identification or give their names. Many say the government does not need customer logs to monitor the cafés. Plainclothes security officials loiter around the cafés and near their entrances, watching who goes in and out and their activities online over their shoulders. These activities may be subject to criminal penalties. Activists and bloggers told Human Rights Watch that security officials can, moreover, compel uncooperative café owners to spy on their customers with threats to close the business on administrative grounds.[276]
Legal Framework
Article 38 of the Syrian constitution guarantees that:
Every citizen has the right to freely and openly express his views in words, in writing, and through all other means of expression. He also has the right to participate in supervision and constructive criticism in a manner that safeguards the soundness of the domestic and nationalist structure and strengthens the socialist system. The state guarantees the freedom of the press, of printing, and publication in accordance with the law.[277]
Article 32 further provides that "the privacy of postal and telegraphic contacts is guaranteed."[278] This protection of the privacy of written and electronic correspondence can, and should, be read to apply to email as well.
The International Covenant on Civil and Political Rights, to which Syria is a state party, guarantees that "Everyone shall have the right to hold opinions without interference," and that "Everyone shall have the right to freedom of expression; this right shall include freedom to seek, receive and impart information and ideas of all kinds, regardless of frontiers, either orally, in writing or in print, in the form of art, or through any other media of his choice."[279] It further holds that "no one shall be subjected to arbitrary or unlawful interference with his privacy, family, home or correspondence."[280]
The Syrian government also maintains a host of laws that criminalize the peaceful exercise of the right to free expression, to access information, and to privacy. As Anwar al-Bunni told Human Rights Watch, "If [the government] wants you, they will get you. It doesn't matter whether they use the Press Code, the Penal Code, or the Emergency Law. The outcome is predetermined."[281]
Emergency Law
Syria's Emergency Law is at the center of the constellation of legislation that criminalizes peaceful opposition to the government. Syria has been under a state of emergency without interruption since December 1962, shortly after a group of military officers seized power.[282] The day the Ba`ath Party seized power in a March 1963 counter-coup, they renewed the state of emergency with Military Command No. 2 of March 1963. The next day, they codified the military command as Legislative Decree No.1.
As codified, the law designates the prime minister as the martial law governor and the interior minister as his deputy and gives them extraordinary powers. Among its sweeping provisions are "the placing of restrictions on freedoms of individuals with respect to meetings, residence, travel and passage in specific places or at particular times; preventive arrest of anyone suspected of endangering public security and order; authorization to investigate persons and places; delegation of any person to perform any of these tasks." It further allows for the censorship of letters, publications, broadcasts, and other forms of communication. The law forbids contravention of orders from the military governor, offenses "against the security of the state and public order," offenses "against public authority," offenses "which disturb public confidence," and offenses that "constitute a general danger." Meetings of more than five people are also banned without prior approval from the government.[283]
Article 4 of the ICCPR limits the application of Emergency Law to a time of "public emergency which threatens the life of the nation and the existence of which is officially proclaimed." It further stipulates that state parties to the ICCPR may derogate from their obligations under the treaty only "to the extent strictly required by the exigencies of the situation, provided that such measures are not inconsistent with their other obligations under international law."[284]
In its 2000 report to the U.N. Human Rights Committee, the body charged with monitoring states' compliance with the ICCPR, Syria justified the continued application of the Emergency Law by saying that since Israel's establishment in 1948, Syria had faced "a real threat of war by Israel," and that this "gave rise to an exceptional situation that necessitated the rapid and extraordinary mobilization of forces in the Syrian Arab Republic and, consequently, the promulgation of legislation to ensure the Administration's ability to act rapidly in the face of these imminent threats."[285]
On July 28, 2005, the U.N. Human Rights Committee
Note[d] with concern that the state of emergency declared some forty years ago is still in force and provides for many derogations in law or practice from the rights guaranteed under articles 9, 14, 19 and 22, among others, of the Covenant, without any convincing explanations being given as to the relevance of these derogations to the conflict with Israel and as to the necessity of these derogations to meet the exigencies of the situation claimed to have been created by the conflict.[286]
The Press Law
The Press Law-Decree No. 50/2001, promulgated on September 22, 2001-provides for sweeping controls of newspapers, magazines, and other periodicals, as well as virtually anything else printed in Syria, from books to pamphlets and posters. Provisions apply to publishers, editors, journalists, authors, printers, distributors, and bookstore owners, and subject them to imprisonment and steep fines for violations of the law.[287] A Syrian court has ruled that anyone with a photocopy machine, a fax machine, a printer, or any means of printing is subject to the Press Law.[288] This suggests that it would also apply to online publishing. "The new media law legalizes martial law-and that's all it does," journalist and human rights activist Nizar Nayyuf declared shortly after his release from prison.[289]
The decree prohibits the publication of information on a wide range of topics-including articles and reports that touch on what the authorities consider to be "national security" and "national unity"-and punishes the publication of "falsehoods" or "fabricated reports" with prison terms of up to three years and fines of 500,000 to 1 million Syrian pounds (US$10,000 to $20,000).[290] Imprisonment of up to three months is the penalty for publishing a periodical without a license from the prime minister, who is empowered to deny licenses "for reasons he deems to be related to public interest."[291] Periodicals that are not licensed as political publications are prohibited from publishing "political" articles.[292] The publication of "propaganda" financed "directly or indirectly" with funds from foreign governments or foundations is punishable by prison terms of up to one year.[293] Convictions for libel, slander, or defamation carry a maximum one-year prison sentence.
Article 51a stipulates that maximum penalties "shall be imposed if such acts have been committed by reason of ill-will, or caused public unrest, or harm to international relations, offense to state dignity, national unity, the morale of the army and the armed forces, or caused some damage to the national economy and the currency." None of the broad terms used in Article 51a is defined in the decree.
A list of topics banned from publication is set forth in Article 29 of the decree:
- Information about the investigation and charges in misdemeanor and criminal cases "prior to their being delivered by the court in an open session."
- "Details of cases of libel, defamation, slander, or calumny."
- "Details of secret trials and hearings of cases dealing with divorce, separation, hereditary disputes and those banned by courts, and reports made by forensic doctors in crimes of immorality."
- "Confidential reports of the National Assembly."
- "Articles and reports about national security, national unity, details of the security and safety of the army, its movements, weapons, supplies, equipment and camps, with the exception of information issued by the Ministry of Defense and approved for publication."
- "Books, correspondence, articles, reports, pictures and news affecting the right to privacy."
These prohibitions appear to rule out investigative reporting and commentary on a wide range of cases brought before Syria's judicial system, as well as issues under consideration in the elected legislature, two important spheres of government activity where the public has a right to know.
The list of banned subjects also ensures that writers will exercise restraint with respect to information and analysis about controversial social and political issues. The term "national unity" is exceedingly vague, and can be applied to virtually any subject of domestic political concern. Similarly, the elasticity of the phrase "national security" requires journalists and others to exercise extreme caution on all subjects related to foreign policy and the Syrian military.
Other vaguely worded laws further restrict press freedom. Articles 286 and 287 of the Penal Code criminalize spreading any news abroad.[294] Decree No. 6 of 1965, used to imprison human rights defender Aktham Na`issa, criminalizes "publishing news aimed at shaking the people's confidence in the revolution." Other laws criminalize "opposition to the revolution, its goals, or socialism."[295]
Implementation of these laws has stifled the free flow of information and opinions in Syria, and has denied citizens the right to be fully informed in this era of almost instantaneous global information exchange.
In a letter to Human Rights Watch, Ambassador Moustapha said the Syrian government planned to reform its media laws:
Syria has only recently realized the need to reform its media policies and make them more reflective of the recent developments in ICT, international media policies, and world-class standards. Taking into account that conventional media development is hindered by a legacy of outdated legislations and regulations, and while the government of Syria has undertaken a commitment to make the media more open, transparent, and free, the electronic media has benefited from the fact that no legislations and regulations exist for the electronic media, thus enjoying a level of freedom and flexibility that allowed them to become the major media outlets in Syria, while conventional printed and broadcast media is lagging behind.[296]
On July 13, 2005, according to the government's letter to Human Rights Watch, Nizar Mayhoob, a spokesman for the Syrian Ministry of Information, announced that Syria would issue a new media law,
which will enhance the law issued in 2001 by overcoming its inadequacies. This new law covers all media issues and all media channels including: Internet [original emphasis], radio, and television. Dr. Mayhoob mentioned that this development illustrates the seriousness of the Syrian government in fostering the growth of a vibrant free, private and public, media sector in Syria.[297]
A highly placed source in Syria who has seen a draft of the new law said it contained one page of regulations on the Internet. According to its provisions, those responsible for operating Web sites will reportedly be required to have a university degree, be at least 25 years of age, and live in Syria. This last provision, this source said, was intended to ensure that operators of Web sites registered in Syria would be subject to the penalties set out in the new law. The law's provisions as to what material would be permissible were reportedly "kept flexible and vague to give the government latitude. They will allow 'the maximum' freedom of expression."[298]
The Supreme State Security Court
All of the Syrians imprisoned for their online activities discussed in this report were sentenced by the Supreme State Security Court, established in March 1968 to try political and security cases. Decree 47/1968, which created the court, specifically stated that the procedural rules of the court would not be "confined to the usual measures" that governed Syria's justice system. Evidence could be introduced that had no ordinary standing in law, such as hearsay or the opinion of the prosecutor. The absence of any rules of procedure eliminates any possibility of appeal on procedural grounds. Proceedings are closed. The president needs to confirm decisions.[299]
Aktham Na`issa-whose hearings before the court lasted from April 2004 to June 2005-described proceedings in the court as "a farce."[300] Anwar al-Bunni, the prominent Syrian human rights lawyer referred to above, has represented several high-profile clients sentenced by the court for their political activities.[301] "The Security Court is completely outside the rule of law and the constitution," he said. "Detainees arrive at the court with their case files, the verdict, and the sentence. It is only a symbolic procedure."[302]
Detentions
The Political Joke
In December 2000, not long after the Syrian government first allowed email, the wife of a prominent Syrian businessman received an email containing a cartoon showing a donkey with President Bashar al-Asad's head mounting another donkey with Lebanese Prime Minister Emile Lahoud's head. The woman, a resident of Damascus, forwarded the message to her friends. After one of the recipients informed on her, Syrian authorities arrested and detained her without charge for nine months in what one writer described as "deliberately humiliating conditions."[303]
`Abd al-Rahman al-Shaghuri
On February 23, 2003, Syrian secret police agents, operating without a warrant, arrested `Abd al-Rahman al-Shaghuri and confiscated his computer, his fax machine, and his elderly mother's car.[304] On June 26, 2003, the U.N. Special Rapporteur on torture and detention, the Chairman-Rapporteur of the Working group on Arbitrary Detention, and the Special Rapporteur on the independence of judges and lawyers sent an urgent joint appeal to the Syrian government about his case.[305] On September 15, 2003, the Syrian government replied that al-Shaghuri been detained for emailing articles copied from the Akhbar al-Sharq (Levant News) Web site, http://www.thisissyria.net. The government said it considered the site's content "detrimental to the reputation and security of the nation," and "full of ideas and views opposed to the system of government in Syria."[306]
His captors beat and tortured al-Shaghuri and held him incommunicado in the tiny, underground cells known as "tombs" during his eighteen-month interrogation at in the Palestine Branch of Military Intelligence in Damascus before moving him to the Sednaya military prison on the outskirts of the city. On June 20, 2004, the Security Court found him guilty, under the Press Law, of "publishing lies" and disseminating articles "that harmed the image and security of Syria." The court sentenced him to three years in prison and then reduced the sentence to two-and-a-half years. He was released on August 31, 2005.
Yahya al-Ous and the Qutaish Brothers
In September 2002 two construction workers were reportedly killed while digging a tunnel in Damascus. Over the course of the following few weeks, Haytham Qutaish, his brother Muhannad, and Yahya al-Ous were arrested for sending emails to a Gulf-based newspaperabout the incident.[307] They had previously sent articles criticizing the Syrian government's economic, political, and human rights policies and government corruption.
Syrian Military Intelligence held them in Sednaya prison for nearly two years before the Supreme State Security Court found the three guilty, on July 25, 2004, of "receiving secret information on behalf of a foreign state which threatens the security of Syria" and using the Internet to publish "false news outside of Syria" under the terms of the Press Law. The court found the Qutaish brothers guilty of "encouraging the transfer of secret information." The court further found Haytham Qutaish guilty of "writing that threatens the security of Syria and her relations with foreign states."[308] The court sentenced Haytham Qutaish and his brother Muhannad to four and three years in prison, respectively. As of November 1, 2005, Muhannad was still in prison, though his sentence had expired twenty days earlier.[309] As of September 2005, Haytham was rumored to have been released. Al-Ous spent two years in prison before being released.[310]
Mas`ud Hamid
On June 25, 2003, police violently dispersed a demonstration of Syrian-Kurdish children in front of the U.N. Children's Fund (UNICEF)'s Damascus office. Mas`ud Hamid, a Kurdish-Syrian journalism student, posted photographs of the event on several Web sites, including the German-based Kurdish Web site http://www.amude.com. One month later, on July 24, 2003, Public Security officers arrested Hamid as he was taking an exam.[311] Witnesses told Reporters sans frontières that the manner of his arrest, in which he was handcuffed in front of a room full of students, seemed intended to intimidate the future journalists.[312] The authorities held him in solitary confinement in `Adra prison for one year before allowing him monthly visits from his lawyer and family. Interrogators reportedly tortured him on several occasions and beat him with a studded whip on the soles of his feet.[313]
On October 10, 2004, the Supreme State Security Court sentenced Hamid to three years in prison after finding him guilty of "membership of a secret organization" and having "attempted to annex part of Syrian territory to another country"-charges frequently leveled against detained Syrian Kurds.[314]
Hamid remains in `Adra prison, where he risks further torture.
Habib Salih
On May 29, 2005, Military Intelligence officers arrested Habib Salih in Tartus, approximately 100 miles (130km) north of Damascus. He had only been released on September 9, 2004, after having been imprisoned for three years for his participation in the civil society movement of the "Damascus Spring." On May 29, 2005, Military Intelligence officers arrested him for posting on two Web sites a series of open letters addressed to the delegates attending the June 2005 Ba`ath Party Conference in which he detailed his prison experiences. In the months since his release, he had also written critical articles for the Lebanese newspaper an-Nahar and the banned Web site http://www.elaph.com. The authorities quickly transferred him to the investigations office, where he risks torture.[315] Human Rights Watch has been unable to obtain further information on his case.
Censorship and Surveillance
In his letter to Human Rights Watch, Ambassador Moustapha outlined the Syrian government's policy on online censorship thus:
Yes, certain types of Web sites are blocked in Syria by all ISPs: pornography, fanatic religious sites, and extremist zionist [sic] Web sites. Some ISPs have their own policy for blocking Web sites that are not applied by other ISPs (e.g. the Syrian Telecom ISP blocks access to Yahoo! mail and MS mail services, while the SCS ISP does not block access to these services).[316]
In practice, the Syrian government censors the Internet extensively under the terms of the Emergency Law, which allows for the censorship of letters, publications, broadcasts, and other forms of communication. One Syrian Internet user called the censorship regime imposed by the STE and the SCS "hell."[317] It reportedly blocks newspaper Web sites, such as that of London's pan-Arab al-Hayat, when they run articles voicing particularly cutting criticisms. The authorities consistently block Elaph-http://www.elaph.com, a U.S.-based Arabic-language online newspaper-as well as Akhbar al-Sharq (http://www.thisissyria.net); the Web site of the independent, London-based Syrian Human Rights Committee, http://www.shrc.org; the internal opposition site http://www.all4syria.org; the news site Islam Online (http://www.islamonline.net); the online version of the Arab Times newspaper (http://www.arabtimes.com); and any Web sites registered with an ".il" top-level domain-that is, any site whose address indicates that it is based in Israel.[318]
The STE also reportedly blocks "anonymizing" Web sites. Such sites allow users to connect to the broader Internet via a "proxy," or intermediary server, which in turn can enable people to circumvent government censorship.[319] Governments that censor web content frequently censor proxy servers that could allow people to circumvent online censorship.
Web sites of human rights and press freedom groups such as Amnesty International and Reporters sans frontières (http://www.amnesty.org and http://www.rsf.org, respectively), which are primarily written in European languages, are available from Syria today, suggesting that state censorship focuses on Arabic-language material.[320]
The government has reportedly stopped trying to block its citizens from accessing popular web-based email sites such as Hotmail and Yahoo!.[321] The government had previously blocked these sites in an effort to prevent users from circumventing state censorship of email correspondence passing through the government's mail servers.
Aya started censoring Web sites on September 15, 2005.[322] Today, when Syrians attempt to read a blocked page using Aya as an ISP, they get a page saying "This URL has access denied according to STE request:"
In mid-October 2005, researchers from Human Rights Watch and the Open Net Initiative (ONI), working in cooperation with local Syrian volunteers, simultaneously tested 1,095 Web sites from within Syria and from a location outside Syria. Tests conducted within Syria used the new, privately owned ISP, Aya-the first to operate over the new public data network. Of these, fifty-nine were confirmed to be blocked.
Of the 1,095 sites researchers tested, 856 had no particular bearing on Syria, but included, among others, popular news sites from around the world, the Web sites of international human rights and women's rights organizations, religious Web sites, pornographic sites, sites that allow people to browse the Web via a proxy server, and sites of interest to lesbians, gays, bisexuals, and transgendered people.
The test indicated that, for the moment, the new public data network is less intensively censored than the old SCS and STE networks. In early October 2005, however, Syrian Minister of Communications Bashir al-Munajjid ordered a sweeping censorship program on the public data network.[323] Our tests, carried out soon after the program was announced, confirmed that network administrators had moved swiftly to begin implementing the order.
Based on STE requests, six popular proxy servers were blocked. Three popular voice-over-IP Web sites were blocked. http://groups.msn.com, which allows people to exchange messages over email and online bulletin boards, was blocked. All4Syria.org, Ayman `Abd al-Nur's site, was already blocked, as were http://www.elaph.com, http://www.thisissyria.net, http://www.arabtimes.com, and http://www.alquds.co.uk, the online version of the pan-Arab London-based newspaper al-Quds al-Arabi. The Web sites of Kurdish political parties and organizations were extensively blocked, as were those of foreign-based Syrian opposition parties.
Syrian bloggers told Human Rights Watch that the government was interfering with the very means by which information is transmitted over the Internet. The Internet is a network of computers that communicate with each other according to agreed protocols. For convenience's sake, each protocol has been assigned a numbered "port" that corresponds to a specific means of transmitting data-such as one might use to send emails, for example, or to read a Web site.
Syrian bloggers and computer specialists told Human Rights Watch that the government-affiliated ISPs have interfered with communications from the ports most commonly associated with the Simple Mail Transfer Protocol (SMTP), which is used to send most email messages. When setting up a local email client, such as Mozilla's Thunderbird or Microsoft Access, users must specify an SMTP address to send emails. In Syria, any traffic from these ports is blocked if it does not pass through STE or SCS servers, an arrangement that would presumably facilitate monitoring. And so resourceful Syrian Internet users reconfigure their computers to reassign the port associated with the SMTP protocol. "We have thousands of ways around every problem," one Syrian technology expert told Human Rights Watch.[324]
According to Syrian bloggers and computer specialists, the government-affiliated ISPs have also restricted connections originating from ports associated with the File Transfer Protocol (FTP), the protocol most commonly used to publish to Web sites. Syrian users could download material over this protocol, but they could not use it upload anything.[325] Web site administrators could publish files to Web sites over the HTTP protocol, but this is a slower and more unreliable method. Such policies, which make it more difficult for Syrians to make Web sites, can only retard the diffusion of the Internet in the country. On November 2, 2005, as this report was going to press, Human Rights Watch received an unconfirmed report from a Syrian computer programmer that SCS had stopped blocking uploads on the FTP protocol.[326]
As one Syrian systems administrator complained on a bulletin board for Syrian computer specialists, "If the ISPs would like to help us do our work, they should unblock all outgoing connections to all ports and services. They can still block Web sites from the proxy."[327]
Syrian Internet users told Human Rights Watch that the government routinely blocks the ports used by VoIP (voice over IP) software. One said he would prefer the government to block these services by blocking the service providers' IP address, rather than blocking entire ports.[328]
They further complained that the government blocks access to Open Source Version Control (CVS), an important resource for developers to exchange source code among the global network of open-source programmers. When Richard Stallman, the founder of the free software movement, the GNU Project, and the Free Software Foundation, traveled to Syria in late February 2005, he reported the frustrating restrictions he encountered there.[329] "Blocking CVS is equivalent to strangling the software industry in Syria," one Syrian developer wrote in an email to Human Rights Watch.[330]
The government told Human Rights Watch that in Syria, "There are no legislations regulating the use of encryption in electronic communications."[331]
Conclusion
The Syrian government says it "has only recently realized the need to reform its media policies and make them more reflective of the recent development in ICT, international media policies, and world class standards."[332] The Syrian government has an extraordinary opportunity to act on that sentiment and to uphold its constitutional and international commitments to free expression with the new media law the Information Ministry promised at the June 2005 Ba`ath Party Conference. Accordingly, the government should:
- Continue to invest in expanding access to the Internet, and refrain from diverting funds reserved for improving networks to improve surveillance or censorship technology.
- Immediately and unconditionally release all those imprisoned or detained solely for exercising their right to free expression, online or otherwise, including but not limited to: Mas`ud Hamid, who was imprisoned after posting photographs of police violently dispersing a violent demonstration, and Muhannad Qutaish, imprisoned for sending e-mails to a Gulf based newspaper.
- Legislate that all Syrians should have free and unimpeded access to Internet cafés and Internet-connected libraries, and that such businesses should not be required to provide customer records without a specific court order based on a compelling and particularized showing of need in relation to the commission of a crime.
- Stop blocking Web sites for their political or their human rights content, including, but not limited to, the following sites: http://www.all4syria.org, http://www.elaph.com, http://www.thisissyria.net, http://www.shrc.org, http://www.islamonline.net, http://groups.msn.com, http://www.alquds.co.uk, and http://www.arabtimes.com.
- Scrupulously respect the rights of suspects and defendants in criminal cases, including counter-terrorism cases, and prohibit the use of evidence obtained by torture or without legal authorization. The Supreme State Security Court should grant all defendants a fair and open trial governed by transparent rules of procedure, and rules of evidence should conform to international standards.
- Repeal laws that abridge the right to privacy or the right to freely access or disseminate information or opinions, including the Press Law (Decree No. 50/2001) which provides for sweeping controls of virtually all printed publications in Syria and appears to apply to online publishing as well.
- Repeal the Emergency Law, in particular those provisions that restrict freedom of expression, online or otherwise, and freedom of association.
- Seek to pass legislation that
- Provides strict guarantees of the privacy of electronic communications.
- Allows monitoring of email or other forms of electronic communication only when authorized by an independent court of law upon a compelling showing of genuinely criminal activity.
- Contains explicit guarantees of the right to freedom of expression, the right to access information, and the right to privacy of communications as outlined in the Syrian constitution and articles 19 and 17 of the ICCPR, respectively.
- In accordance with international standards, seek to pass legislation that
- Affirmatively protects the right of writers to advocate nonviolent change of government policies or the government itself;criticize or insult the nation, the government, its symbols, or officials; and communicate information about alleged violations of international human rights and humanitarian law.
- Removes unlimited liability from private ISPs for carrying illegal content.
- Permits the free use of encryption and other techniques to ensure the privacy of online communications. Law enforcement agencies should be allowed to decrypt private communications only after convincing an independent court of a compelling and particularized need for the purposes of protecting the public order, public morals, or national security.
- Cease intimidation and harassment of online writers who express critical opinions or report on human rights violations. The right to freedom of expression precludes unauthorized or harassing surveillance or intimidation of online journalists and other practices designed to chill freedom of expression.
Tunisia
"When I first heard that the summit was to be held here, I viewed it as a humiliation that the dictatorship should have this chance to present a modern mask to hide its face."
-Mokhtar Yahyaoui, Tunis Center for the Independence of the Judiciary[333]
"If technology is making the world a 'global village,' then Tunisia is a basement cell in the village."
-Ridha Barkati, Tunisian Association against Torture[334]
"Diversity of opinion is vital, I'm sure, but there are limits."
-Tunisian Minister of Communications Technology Montasser Ouaili[335]
On November 16-18, 2005, Tunisia-having first proposed the idea in 1998-will host the second phase of the U.N. World Summit on the Information Society (WSIS), a summit dedicating to "bridging the digital divide and allowing the advent of an information society that is balanced and accessible to all."[336] Tunisia prides itself on being the first country in the region to establish a connection to the Internet and on being the first in the region to include an explicit guarantee of universal human rights in its constitution.
In a Publinet Internet café on a nondescript street in western Tunis there hangs a portrait of Tunisian President Zein El Abidine Ben Ali. Just below it, a sign reads "Opening disk drives is strictly forbidden. Do not touch the parameters of the configurations. It is forbidden to access prohibited sites. Thank you." Government regulations mandate that similar signs hang in every Internet café in the country.
Late at night on March 1, 2005, plainclothes agents arrested online journalist Mohamed Abou. The night before, Abou, the father of three, had published an article on a banned Web site comparing President Ben Ali to Israeli Prime Minister Ariel Sharon. Abou is now serving a three-year prison term in Le Kef, roughly 200 km (105 miles) southwest of Tunis.
Zoheir Yahiaoui, a resident of Tunis who hid his online identity behind the pen name Ettounsi ("the Tunisian"), was arrested at 7 p.m., June 4, 2002, by six plainclothesmen in the Internet café where he worked and charged with publishing "false news" on Tunezine, the Web site he edited. He was released more than a year later, in November 2003, and died of natural causes in March 2005 at the age of 36.
Tests conducted by Human Rights Watch in cooperation with other international and Tunisian organizations over the course of September 2005 found that Tunisia censors hundreds of Web sites, including sites that feature human rights news on Tunisia or articles that portray the government in unflattering terms. Internet users in Tunisia uniformly told Human Rights Watch that they believe the government extensively monitors email correspondence and Internet traffic. Some reported what they believed was governmental interference with their email accounts.
Tunisian law allows for stiff criminal penalties on those found guilty of spreading "false news" and libel. These laws have been used to detain online writers for their expressing their opinions. Tunisian regulations on the Internet further hold Internet service providers (ISPs) liable for the content they carry, encouraging them to act as auxiliary censors for the state.
While the government claims it is devoted to free expression and has taken steps to improve access to the Internet-most recently offering Internet service for the price of a local phone call, for example-its record on freedom of expression online in practice has led many Tunisian human rights workers to express disbelief that WSIS will be held in their country.
Access to the Internet
The Tunisian government has taken positive steps to spread access to information online. In 1999, when Human Rights Watch last issued a report on freedom of expression online in the Middle East, an estimated 3,000-5,000 people were online in Tunisia.[337] Today, the quasi-governmental Agence Tunisien d'Internet (ATI) says there are 788,415 Tunisian users.[338] The Tunisian government says all universities, secondary schools, and scientific institutions are connected to the Internet.[339] The government says it further aims to connect all primary schools to the Internet by 2006.[340] A network of between sixty and eighty[341] Internet access centers has been established in youth clubs and culture centers. Each of the country's twenty-five governorates has Internet-connected computer centers for children.[342] Government figures put the number of government-subsidized but privately franchised "Publinet" Internet cafés at between 280[343] and 310.[344] The cafés offer affordable, if restricted, access to the Internet.
Riadh Dridi, chargé d'affairs a.i. at the Embassy of Tunisia to the United States, told Human Rights Watch that in recent months,
This approach [to spread the Internet] has been reinforced by measures introduced as part of the implementation of President Ben Ali's Electoral Program of 2004-2005, and aimed at the following objectives in particular:
·Providing every citizen with the opportunity of having his or her own e-mail address.
·Establishing a public Internet-service center in each village, with especially low connection rates for centers established in rural areas.
·Enabling Tunisian families to purchase, with easy conditions, low-cost "family computers," which are equipped with Internet connection capability.
·Generalizing broadband access throughout the country.
·Encouraging the participation of civil society in disseminating digital culture.[345]
Tunisian Minister of Communications Technology Dr. Montasser Ouaili, when asked what he considered to be among the most positive recent developments in the field of information technology in Tunisia, replied, "One of the major advances has been the evolution of the framework to further advance competition. We are opening up the capital of the historical ISPs to further expand the private sector. Competition is very stimulating."[346]
In Tunisia, all Internet connections run through the ATI, a quasi-governmental body under the authority of the Ministry of Communications Technology. The ATI controls the "backbone" Internet infrastructure. Seven public-sector ISPs designed to service the government bodies responsible for research in, for example, health, education, and the environment, lease connections from the ATI. In 1999, two private ISPs-PlaNet Tunisie and 3S Global Net, both owned by people with close ties to President Ben Ali-leased bandwidth from the ATI.[347] In the past six years, the government has licensed three new private ISPs-HexaByte, Topnet, and TUNET-to provide Internet access in Tunisia.
In April 2005, despite objections from free expression groups, French Internet giant Wanadoo announced it had formed a partnership with PlaNet Tunisie, which is owned by President Ben Ali's daughter, Cyrine Mabrouk.[348]
The cost of Internet access has fallen significantly in recent years. In May 1999, PlaNet advertised dial-up Internet service for roughly US$17 a month. By September 2005, that rate had fallen to US$3.75 a month. PlaNet/Wanadoo offered high-speed, asymmetrical digital subscriber lines (ADSL) lines starting from US$18.77 a month.[349] 3S Global Net, HexaByte, Topnet, and Tunet had all started offering unlimited dial-up service to the Internet for the price of a local phone call.[350]
In 1999, Human Rights Watch reported that Tunisians had complained of difficulties in applying for accounts that would enable them to connect regularly to the Internet.[351] A September 2005 visit to Tunisia found no such problems. Tunisians can now access the Internet instantly by filling out an online form that requires users to provide their name, address, telephone number, and age. And they can do so for the cost of a local phone call.
Legal Framework
Article 19 of the International Covenant on Civil and Political Rights (ICCPR), to which Tunisia is a state party, sets out the minimum international standards for freedom of expression. It states: "Everyone shall have the right to hold opinions without interference; Everyone shall have the right to freedom of expression; this right shall include freedom to seek, receive and impart information and ideas of all kinds, regardless of frontiers, either orally, in writing or in print, in the form of art, or through any other media of his choice."[352] Tunisia is a party to the ICCPR.
Article 9 of the African Charter on Human and Peoples' Rights, which Tunisia ratified in 1982, guarantees that "Every individual shall have the right to receive information," and that "every individual shall have the right to express and disseminate his opinions within the law."[353]
Article 32 of Tunisia's Constitution holds that "treaties ratified by the president of the republic and approved by the chamber of deputies have an authority superior to that of [Tunisian] laws."[354] The right to freedom of expression, the right to access information, then, are among the rights enshrined in Tunisian law which Tunisian courts are bound to uphold.
According to Article 8 of the Constitution, "The freedoms of opinion, expression, the press, publication, assembly, and association are guaranteed and exercised under the conditions laid down by the law." Article 9, as amended in 2002, states, "The inviolability of the home, the confidentiality of correspondence, and the protection of personal data shall be guaranteed, subject to exceptional cases prescribed by law."[355] Article 5, also amended in 2002, "guarantees fundamental freedoms and human rights in their universal, comprehensive, complementary, and interdependent application."[356] Tunisian officials boast that Tunisia is the only Arab, Middle Eastern country with such a guarantee in its constitution.[357] In a May 2001 interview with journalists from Tunisia's Essabah and Ech-Chorouk dailies, President Ben Ali said, "I will say to you, once more, loud and clear: Write on any subject you choose…There are no taboos except what is prohibited by law and press ethics."[358]
In a letter to Human Rights Watch, the government of Tunisia indicated that
Electronic mail, newsgroups, and online discussion forums are not subject to any specific regulations [original emphasis]. The same holds true for online speech.
The various forms of online expression are protected by the Constitution, particularly article 8, which provides that "freedom of opinion, expression, the press, publication, assembly and association are guaranteed and exercised according to the terms defined by the law." [original emphasis]
Current laws that are related to this article or are pertinent to online communications include the Press Code, laws on intellectual and artistic property, the Penal Code, and the anti-terrorism law (regarding incitement to hatred). The hosting of Web sites is considered among the added-value services of the communications sector (governed by a decision issued by the Minister of Communications and a specifications book dating back to 1997).[359]
The first article of Tunisia's Press Code guarantees "the freedom of the press, publishing, printing, distributing and sale of books and publications."[360] However, a number of laws permit the prosecution of writing or speech that displeases the authorities. The Press Code provides prison terms for criminal defamation, although 2001 amendments removed an article criminalizing "defaming the public order." The amendments preserved the government's power to ban newspapers, but shortened the maximum duration from six months to three months.[361] Articles 35, 37, 38, 39, 45, 61, and 62, all of which carried prison terms, were simply transferred out of the Press Law and into the Penal Code.[362]
The articles of the Press Code most often used to punish criticism are Article 49 and Articles 50-53. Article 49 provides for up to three years' imprisonment for "publishing false news" likely to disturb the public order. Article 50 states that defamation has occurred if there has been "a public allegation or attribution of a fact that harms the honor or esteem (considération) of a person or state agency to whom the fact was attributed." Defamation is punishable by up to three years in prison and a fine of up to 1,200 dinars (US$900) if the offending material is published "directly or by means of reproduction." The code specifies various public entities that can be thus defamed, including "the courts, the ground, sea and air forces, public agencies and public administrations." Defamation is punishable by the same penalties if it is committed against one or more "members of the government, one or more deputies, civil servants," and other public servants "by virtue of their functions or their status." The truth of the allegation can be used as a defense, but not in all situations.
The U.N. Human Rights Committee, which reviews the compliance of states parties with the ICCPR, in 1995 noted its concern that
dissent and criticism of the Government are not fully tolerated in Tunisia and that, as a result, a number of fundamental freedoms guaranteed by the Covenant are not fully enjoyed in practice…. In particular…the Committee is concerned that those sections of the Press Code dealing with defamation, insult and false information unduly limit the exercise of freedom of opinion and expression as provided for under article 19 of the Covenant. In this connection, the Committee is concerned that those offences carry particularly severe penalties when criticism is directed against official bodies as well as the army or the administration, a situation which inevitably results in self-censorship by the media when reporting on public affairs.[363]
The committee further stipulated, "When a State party imposes certain restrictions on the exercise of freedom of expression, these may not put in jeopardy the right itself."[364] The Special Rapporteur on the promotion and protection of the right to freedom of opinion and expression in January 2000 urged
all Governments to ensure that press offenses are no longer punishable by terms of imprisonment, except in cases involving racist or discriminatory comments or calls to violence. In the case of offences such as "libeling," "insulting" or "defaming" the head of State and publishing or broadcasting "false" or "alarmist" information, prison terms are both reprehensible and out of proportion to the harm suffered by the victim. In all such cases, imprisonment as punishment for the peaceful expression of an opinion constitutes a serious violation of human rights.[365]
The anti-terrorism law of December 2003, contains a definition of terrorism that is broad and subject to abuse. Article 4 of the law defines terrorism as
any offense, whatever the motive, that is related to an individual or collective enterprise capable of terrorizing a person or a group of persons, to sow terror in the population, in order to influence the policies of the state and to force it to do that which it would not otherwise do or to refrain from doing what it would otherwise do, or in order to disturb the public order, tranquility, or international security…
The law does not limit the definition of terrorism to the use of violent means, nor does it define phrases like "influence[ing] the policies of the state" or "terrorizing a person or a group of people."[366]
Article 6 of the anti-terrorism law extends the legal regime for "terrorism" to "acts of incitement to racial or religious hatred or fanaticism, whatever the methods used…."[367] Thus, speech that "incites" others to "fanaticism" could be considered a terrorist act under the law, whether or not those who were influenced by it committed acts of violence. The law's definition of prohibited "terrorist incitement" is also broader than the restrictions on freedom of expression permitted under Article 20 of the ICCPR, which only allows curbs on "any advocacy of national, racial or religious hatred that constitutes incitement to discrimination, hostility or violence."[368] The law provides harsh penalties and allows the state to refer civilian suspects to military courts, whose verdicts are not subject to appeal.
The Tunisian government told Human Rights Watch that the hosting of Web sites is "governed by a decision issued by the Minister of Communications and a specifications book dating back to 1997." This presumably refers to a decree issued on March 22, 1997 (hereafter "the Internet decree").[369] It followed by eight days a decree that covers telecommunications services more generally.[370] The telecommunications decree provides the following:
·The Press Code shall apply to the production, provision, distribution and storing of information through telecommunication means, including the Internet (article 1).
·All Internet service providers (ISPs) must obtain a license from the Ministry of Communications (article 7).
·A "Commission on Telecommunications Services" shall review each application to operate an ISP company; the commission includes representatives from the ministries of defense and interior, as well as officials holding posts related to communications, information and computer sciences (article 8).
The Internet decree of March 22, 1997 imposes the following rules:
·Each ISP must designate a director who "assumes responsibility...for the content of pages and Web pages and sites that the ISP is requested to host on its servers (article 9, paragraph 3)." Internet users and those who maintain Web sites and servers are also responsible for infractions of the law (article 9, paragraph 4);
·Each ISP must submit, on a monthly basis, a list of its Internet subscribers to the "public operator" (the ATI) (article 8, paragraph 5); if the ISP closes down or stops providing services, it must "without delay" turn over to the "public operator" a complete set of its archives ("l'ensemble des supports d'archivage") as well as the means to read it (article 9, paragraph 7).
·The "director" of the ISP must maintain "constant oversight" of the content on the ISP's servers, to insure that no information remainson the system that is contrary to "public order and good morals" ("l'ordre publique" and "bonnes mœurs," the same phrases that are found in Article 62 of the Press Code, which provides for the confiscation of publications).
The Internet decree also bars encryption without prior approval from the authorities (article 11). A September 1997 decree on encryption requires that people or service providers who wish to encrypt data must submit an application to the Ministry of Communications and provide the keys needed to decrypt the data. The ministry decides on the application after consulting the Commission on Telecommunications, cited above.[371]
A subsequent decision, issued by the National Agency for Electronic Certification (Agence Nationale de Cetrification Electronique, or ANCE) in November 2001, upheld the same principles but changed some of the details: Encryption was now under the purview of the defense ministry and a new encryption commission (article 4) comprised of representatives from five ministries plus the ANCE and the Center for Telecommunications Studies and Research (Article 15).[372] Anyone wishing to encrypt communications is required to file a request with the ANCE, including a detailed description of the means of encryption and a manual explaining how to use and program the encryption technology.
The contract that institutional subscribers sign when obtaining services from the ATI imposes further government controls. Most remarkably, it requires users to affirm that they will "use the Internet only for scientific, technological or commercial purposes that are strictly related to the activity of the client, in strict conformity with the rules in effect." The contract also requires that clients:
·"Disclose to the ATI all accounts that have been opened for users and those having access";
·"Prevent remote access to its network by external users who lack prior authorization from the ATI"; and
·"Inform the ATI of any change in address, equipment, and user."
The ATI reserves the right to suspend Internet service without notice if the subscriber engages in any use that is "improper or contrary to the conditions laid out" in the contract. The agency also has the right under the contract to conduct site visits to ensure that the equipment connected to the Internet is being used "in conformity with the rules and laws as well as to ensure they are being used properly." Embassies and international institutions are exempted from this provision.
The standard contract imposes legal responsibility on the ISP for content without limiting such responsibility to removing banned content once the ISP is notified of its presence. This has the potential to encourage ISPs to engage in self-censorship.
The Tunisian government, in its letter to Human Rights Watch, states that ISPs are responsible for the content of Web sites they host. It does not address the content of email messages or newsgroup postings, but responsibility for newsgroup content seems encompassed by the section of the Internet decree stipulating that the ISP must allow nothing to "remain" on its servers that harms "public order and good morals." This broad and vague wording seems intended to compel ISPs to err on the side of censoring content so as to comply with the regulations.
The Tunisian government wrote to Human Rights Watch that "Information which is available to ISPs about their subscribers or users are [sic] confidential. Such information can only be communicated to a third party as part of judicial proceedings."[373] But the Internet decree of 1997, which the government says is still valid, holds that ISPs must submit the names of their subscribers to the government in order to facilitate government maintenance of a statistical base and directory of Internet users.[374]
This obligation of ISPs to furnish the government with subscriber lists infringes the privacy and anonymity rights of Internet users. The mandatory delivery to the authorities of such information, which could facilitate electronic surveillance, can only inhibit Tunisians wishing to express themselves or receive information online.
The contract ATI presents to institutional clients restricts the clients' right to seek and access information online. The requirement that they use it only for "scientific, technological or commercial purposes that are strictly related to the activity of the client" apparently bars them from using the Internet account for any other purpose, under penalty of cancellation of the contract. This again makes institutional clients monitors of their own employees and clients.
Internet Censorship
Despite the strides the government has made in improving access to the Internet, several Tunisian policies continue to restrict people's right to access information online.
In a letter to Human Rights Watch, Chargé d'Affairs Dridi wrote,
No content is blocked or censored, except for obscene material or content threatening public order (i.e. incitement to hate, violence, terrorism, and all forms of discrimination and bigoted behavior which violate the integrity and dignity of the human person, and/or are prejudicial to children and adolescents).[375]
Tunisian Minister of Communications Technology Montasser Ouaili further elaborated on this policy in September 2005. "Any Web site that is pushing toward hatred or extremism is blocked," he said. "On the other side of the Mediterranean, the lack of Web site blocking has had side-effects. Freedom should be associated with responsibilities."[376]
Tunisia's censorship of Internet content, though it has apparently eased slightly in recent years, still goes well beyond what could be considered "incitement to hatred, violence, and terrorism." In 1999, Human Rights Watch reported that Tunisian Internet users had been unable to access Web sites that published criticism of the Tunisian government.[377] Among them were nonviolent political sites and the sites of the international human rights organizations Amnesty International (http://www.amnesty.org), Reporters sans frontières (http://www.rsf.fr), and the Committee to Protect Journalists (http://www.cpj.org). Tunisian users told Human Rights Watch that sites that reproduced or carried links to critical material from these and other organizations were also blocked.[378]
In February 2000, the U.N. Special Rapporteur on the promotion and protection of the right to freedom of opinion and expression, Abid Hussain, confirmed and extended these findings. "It was mainly in connection with the Internet," he wrote, "that the Special Rapporteur noted the most limitations."[379] He further reported that
certain Internet sites were permanently blocked, in particular the e-mail sites (http://www.hotmail.com and http://www.moncourrier.com) and NGO sites such as those of Amnesty International, the Committee for the Protection of Journalists, the International Federation of Human Rights, Reporters without Borders and even the sites of French newspapers and periodicals such as Le Monde, Libération and Le Nouvel Observateur. Internet Users have even had policemen knocking on their doors asking why they had accessed a particular site; the sites they visit can thus be monitored and their links cut.[380]
The Tests
Over the course of September 2005, researchers from Human Rights Watch and the Open Net Initiative (ONI), assisted by researchers from The Index on Censorship and the Conseil National pour les Libertés en Tunisie, tested 1,947 Web sites from Tunisia. Using the methodology described in the introduction to this report and in ONI's other reports on Internet censorship around the world, researchers tested three categories of sites:
- A list of "high impact" sites reported to be blocked or likely to be blocked in Tunisia because of their content;
- A "global" or control list of sites reflecting a range of Internet content, (including, for example, major news sites and sites about "hacking");
- A third list, comprising sites known to be blocked by SmartFilter software, in order to test whether the government was using this software to block Web sites, as previous tests suggested it was.[381]
In Tunisia, attempts to navigate to a blocked Web site immediately return a page disguised to look like a French-language Microsoft Internet Explorer error page that reads "Impossible de trouver la page" (impossible to find the page)-irrespective of the browser used to access the page.
Researchers repeatedly tested 1,947 sites from different locations within Tunisia using the private ISP 3S Global Net. Of the sites tested, 184 were found to be blocked. It should be noted that these results constitute a "snapshot" of the Tunisian Internet in September 2005. Sites reported blocked at the time of our testing may no longer be blocked. Likewise, sites that were available during our tests may no longer be available.
The Web sites of French newspapers Le Monde, Le Monde Diplomatique, Libération, and Le Nouvel Obersvateur, which had previously been reported blocked, were available in repeated tests conducted over the course of September 2005.[382] Amnesty International's main site, http://www.amnesty.org, the Web site of the Committee to Protect Journalists, http://www.cpj.org, Human Rights Watch's Web site, http://www.hrw.org, and Human Rights First's Web site, http://www.lchr.org-all of which had previously been reported blocked-were available in September 2005. Tunisian Internet users confirmed that the sites were no longer blocked as a rule.
Popular email sites previously reported blocked were also available in September 2005. Of the twenty-five popular email sites researchers tested, none were confirmed blocked. Tunisian Internet users likewise confirmed that the government had stopped blocking web-based email sites.
January 2005 tests conducted by ONI in collaboration with the free expression groups collectively called the Tunisia Monitoring Group found http://www.multimania.com/solidarite26, a Web site set up to offer solidarity to political prisoners in Tunisia, to be blocked.[383] The site was available in September 2005.
Researchers tested fewer than 2,000 of the billions of pages on the Internet. The one hundred eighty-two sites Human Rights Watch and ONI confirmed as blocked thus likely represent a fraction of the total. This sample of blocked sites suggests that Tunisia still routinely interferes with Tunisians' right to access and disseminate information.
Of the one hundred six sites researchers thought might be blocked in Tunisia because of their content, sixty-nine were available and thirty-seven were blocked. A list of these thirty-seven sites, categorized by theme, follows:
Organizations, parties, and movements:
- http://www.ltdh.org, the Web site of the Tunisian League for the Defense of Human Rights.
- http://www.rsf.fr, the Web site of Reporters sans frontières. http://www.rsf.org is also banned.
- http://www.nahdha.net, the Web site of the al-Nahdha movement, a banned Tunisian Islamist group.
- http://www.mdstunisie.org, the former Web site of the Movement of Democratic Socialists, a legal opposition political party. The site is no longer maintained.
- http://perso.infonie.fr/tunisie-ugtef, the former site of the General Tunisian Student Union, dedicated to what the site describes as student political prisoners in Tunisia.
- http://www.tunisie2004.net, is associated with the Congress for the Republic (Congrès pour la République, CPR), an unauthorized political party whose president is Moncef Marzouki, the former president of the Tunisian League for the Defense of Human Rights (LTDH). Tests on http://www.tunisie2004.net/new/ confirmed that pages within the domain are also blocked.
- http://www.cprtunisie.com, the official Web site of the CPR.
- http://www.ikhwanonline.com, the Web site of the Muslim Brotherhood, an Islamist political movement that is strongest in Egypt.
News, information, discussion, advocacy:
- http://www.tunisnews.net, which features news and commentary with an opposition slant. Many Tunisian activists, who can only read it in emails from friends and family abroad, describe it as the most popular source of online news in Tunisia despite the ban.[384]
- http://www.tunezine.com, provides human rights news on Tunisia and is openly critical of the Tunisian government. Its late editor, Zoheir Yahiaoui, was imprisoned for articles he published on the site.
- http://www.perspectivestunisiennes.net, describes itself as "in favor of a democratic, modern, and prosperous Tunisia" and offers news and commentary, including articles reprinted form the international press.
- http://www.kalimatunisie.com, a bilingual (French-Arabic) online newspaper with a human rights focus, the print version of which has been unable to obtain legal authorization.
- http://www.rezoweb.com/forum/politique/nokta.shtml, an online forum featuring open political discussions among Tunisians and political jokes. It included, for example, lists of students identified as political prisoners and accusations of mistreatment of prisoners in Tunisian custody. It has since fallen into disuse.
- http://www.globalprevention.com/marzouki.htm, a page dedicated to human rights defender Moncef Marzouki, who was imprisoned in 1994 for "spreading false news."
- http://www.nawaat.org, which features news articles, links to articles about Tunisia in international newspapers, forums, chat rooms, and photographs with an opposition slant. Tests found that the URL http://nawaat.org/portail was also blocked.
- http://www.albadil.org, the online heir to the banned weekly newspaper of the unauthorized Tunisian Workers' Communist Party.
- http://www.verite-action.org, provides human rights news on Tunisia.
- http://www.zeitounatv.com, the former online presence of Zeitouna TV, a London-based satellite station directed at Tunisia. The Web site, no longer updated, is still blocked.
- http://www.alternatives-citoyennes.sgdg.org, describes itself as an online journal for Tunisians around the world to exchange information and ideas online.
- http://tounes.naros.info, L'autre Tunisie, describes itself as "for the emergence of a democratic alternative in Tunisia," and posts news items and commentaries on human rights issues and politics that criticize the President Ben Ali and his government.
- http://www.maghreb-ddh.org, Maghreb des Droits de l'Homme, provides human rights news and information on Tunisia, Algeria, Morocco, and Mauritania.
- http://www.islamonline.net, a popular pan-Arab news Web site that has carried articles critical of the Tunisian government.
- http://www.reveiltunisien.org, which provides news, information, and commentary with an opposition slant.
- http://www.dabbour.net, the Web site of a Switzerland-based Tunisian human rights activist.
- http://www.zarzis.org, a Web site dedicated to obtaining the release of the "Youths of Zarzis" (see below) and for an end to "cyber-repression."
- http://www.h-ammar.nav.to, published a petition protesting Tunisia's hosting of the 2001 Mediterranean (or Francophone) Games; though no longer active the site remains blacklisted in Tunisia.
- http://www.infornews.com, once published material critical of the Tunisian government; it is no longer active, but remains blacklisted in Tunisia.
- http://www.ezzeitouna.org, used to publish press releases from Tunisian human rights organizations and photographs from demonstrations against the government by expatriate Tunisians in France; the site is no longer maintained.
SmartFilter Errors:
- http://www.lesbians-against-violence.com, a Frankfurt-based group that campaigns against domestic violence in lesbian relationships.
- http://www.oneinstitute.org, a U.S.-based library of books and films about lesbians, gays, bisexuals, and transgendered people.
- http://www.bglad.com, which describes itself as a "Bi/Gay/Lesbian Links Directory."
- http://www.lgf.org.uk, the Web site of the UK-based Lesbian & Gay Foundation.
- http://www.richard-gay.com, the Web site of Olympic French skier Richard Gay, apparently mistakenly blocked because of his name.
- http://www.geocities.com/almanzah8/kabyle.htm, which offers North African popular music songs. http://www.geocities.com, an "online community" that offers free web hosting, is also blocked in Tunisia.
- http://ourworld.compuserve.com, another "online community" that offers free web hosting and web publishing tools, and http://ourworld.compuserve.com/homepages/dlhinson/dfb_sch.htm, a page providing information about scholarships to study science at historically black colleges in the United States.
- http://www.wingsforchildren.org, an organization dedicated to ending child abuse in South Carolina.
The tests conducted in September 2005 suggest that Tunisia still uses SmartFilter to block Web sites. SmartFilter users may choose to block Web sites based on categories and by adding individual Web addresses to block. SmartFilter continually updates the list of sites in each category. In the interest of improving its software, it has provided users with an online tool called "SmartFilterWhere." Users, indeed anyone, may enter in a Web address to see if SmartFilter has categorized that site and how. ONI previously documented SmartFilter's tendency to "overblock" sites.[385] The Tunisian government, for instance, has never expressed any hostility to French Olympic skiers. But SmartFilter lists do mistakenly categorize http://www.richard-gay.com, a French Olympic skier's Web site, as "pornography" and "sex." SmartFilter lists likewise mistakenly categorize http://www.lesbians-against-violence.com, http://www.biographysoftware.com, http://www.oneinstitute.org, http://www.bglad.com, and http://www.wingsforchildren.org, the Web site of a South Carolina organization dedicated to ending sexual abuse of children, as "pornography" and "sex" sites.[386]
SmartFilter blocks http://ourworld.compuserve.com and http://www.geocities.com as "Personal" sites,[387] which could explain why Tunisia is blocking, for example, access to Web pages providing information about scholarships to historically black colleges in the United States.
Human Rights Watch and ONI tested forty-eight popular proxy servers-servers that could be used to circumvent the Tunisian censorship regime by allowing Tunisians to browse the Web via a computer outside of Tunisia-and found that thirty-nine were blocked.[388] By blocking the ability of Internet users to use proxies, Tunisia further curbs their right to privacy and to access information.
SmartFilter lists Web sites such as http://www.tunisnews.net, http://www.tunezine.com, and http://www.kalimatunisie.com under the "general news" and "politics/opinion" headings.[389] Researchers tested thirty-nine major news sites with no particular bearing on Tunisia and found none of them blocked in Tunis, suggesting that the government of Tunisia does not usually block access to general news sites. Likewise, researchers in tested eighty-three Web sites of human rights and women's rights organizations from around the world and found none blocked-with the exception of Reporters sans frontières' site. It appears that the blocks on sites that report on human rights violations in Tunisia were added by the government.
Tunisia has cited counterterrorism and the need to curb incitement to hatred and violence as among its justifications for censoring information online. Yet tests on forty-one radical Islamist Web sites found only four blocked. Further, SmartFilter maintains a list of Web sites pertaining to weapons, including sites where people can purchase weapons or learn about their manufacture and maintenance. Tests carried out from Tunisia on forty-one of these sites returned no evidence that any were blocked. Human Rights Watch does not wish to suggest that these sites should be censored, only that their continued availability to Tunisians-in contrast to the block against, for example, Reporters sans frontières-raises questions about the government's justifications for censorship.
"We cannot control the world," Minister of Communications Technology Montasser Ouaili recently said, "and with this new tool [the Internet], we are exposed to everything in the world, so we can be hurt from the outside, not just the inside."[390] The pattern of Tunisia's online censorship suggests that, in practice, its policy has been guided less by a fear of terrorism or incitement to violence than by a fear of peaceful internal dissent.
Internet Cafés
Roughly 300 Internet cafés, or Publinets, service Tunisia-a country of approximately 10 million people. The cafés are owned by private entrepreneurs but operate under the authority of the Ministry of Communications, pursuant to a December 1998 decree.[391] Under the terms of the decree, "computers must be deprived of disk drives, but owners are required to have at their clients' disposal at least one terminal capable of printing and saving documents to a removable disk. Only the owner may print and save documents to disks" (Article 12.5).
Under Article 13 of the decree, Publinet owners are further required:
- To comply with the deontological rules [i.e. those concerned with duties and rights] which the media obey…
- To maintain a database of their customers…and to present them with the balance of their accounts after each access.
- To give to their customers clear and precise information on the object of Internet services and their access, and, in particular those relating to the use of email….
- To inform customers by means of a clearly visible poster of their obligations and their responsibility for any infringements of the legal and lawful provisions relating to the Internet, and in particular those relating to the contents of the services they access….
- To sign an agreement with the ISP for access to the Internet.
The requirement that Publinet owners must "comply with the deontological rules [i.e. those concerned with duties and rights] which the media obey" suggests they may be criminally liable for the activities of their customers in the same way Tunisian editors are criminally liable for their reporters' work under the Press Code.
Previous studies have reported that Publinet customers have been asked to produce their identification cards and to provide their names and addresses.[392] The minister of communications technology dismissed these reports as "fabrications."[393] Interviews conducted by Human Rights Watch in early September 2005 confirmed that café owners at present do not take names at Publinets in Tunis. When Human Rights Watch visited Publinets in Tunis, the café owners did not ask for a name or identification. All the computers were arranged so the screens would be visible to the café owner. One owner commented every time the researcher tried to access a banned site.
Surveillance
Tunisian activists uniformly told Human Rights Watch they believe the government monitors electronic communications. They told stories of email arriving late or not at all, of responses to emails coming from third parties posing as the recipient when the intended recipient said he never received the original message, of email inboxes being filled to saturation by repeated emails saying only, for example, "You are traitor." According to one account from a Web site of a human rights activist blocked in Tunisia, the Interior Ministry employs 500 "Internet police," most of whose time is spent reading email.[394] Sihem Bensedrine, the report's author, told Human Rights Watch that she had learned of the office's existence from a journalist who said he had seen the offices.[395] Human Rights Watch was not able to confirm these allegations independently.
Detentions
Zoheir Yahiaoui
Zoheir Yahiaoui, editor of the unauthorized online journal Tunezine, was the first Tunisian to be jailed for his online writing. Hosted in France, Tunezine featured mostly dissident and often sarcastic commentary on the political situation in Tunisia.
Yahiaoui, a 33-year-old resident of Tunis who hid his online identity behind the pen name Ettounsi ("the Tunisian"), was arrested on June 4, 2002, by six plainclothesmen at the Internet café where he worked. The police took him to his home, where they reportedly conducted a search without a warrant, seizing computer disks and equipment belonging to him. The police returned to Yahiaoui's home two days later and questioned family members. They also arrested the manager of the Internet café where he worked.[396]
Yahiaoui was ill-treated during the first two days of his detention in the Ministry of the Interior.[397] His lawyers were not allowed to visit him in prison until June 11, 2002, a week after his arrest.
On June 20, 2002, a court sentenced Yahiaoui to a year in prison for disseminating "false information" and another sixteen months for theft of telecommunication services. The fabricated charge of "stealing Internet services" appears to have been based on the fact that he worked without pay in the Internet café in exchange for having unlimited use of a computer station there, from which he edited his Web sites. The second charge of knowingly disseminating false information related to a rumor he published that there had been an armed attack on the presidential palace that cost the lives of several guards. In July, an appeals court reduced the sentence to two years total. In January 2003, Yahiaoui went on a hunger strike for two weeks to protest poor prison conditions. His case attracted worldwide attention and he was freed from prison in November 2003, half a year early.
Yahiaoui was the nephew of dismissed Judge Mokhtar Yahiaoui, whose open letter to President Ben Ali on July 6, 2001, called for the constitutional principle of the independence of the judiciary to be respected. The letter was first published on Zoheir Yahiaoui's Web site. After Zouheir Yahiaoui's arrest, Judge Yahiaoui's relatives were harassed, prevented from traveling, and physically assaulted.
Zoheir Yahiaoui died in Tunis on March 13, 2005, at the age of thirty-six, of a heart attack. The Web site, http://www.tunezine.com, is still online, and is still blocked in Tunisia.[398]
Mohamed Abou
Mohamed Abou is well known in civil society circles in Tunis. He is a founding member of the International Association for Solidarity with Political Prisoners and the Center for the Independence of Judges and Lawyers, both of them Tunisian human rights organizations the government has refused to recognize. He is also a member of the executive bureau of an unrecognized political party, the Congress for the Republic.
Abou is currently serving a three-year prison sentence. The apparent motive for his arrest on March 1, 2005, was an article he published online the night before on the banned Web site http://www.tunisnews.com. Abou's article protested President Ben Ali's invitation of Israeli Prime Minister Ariel Sharon to attend WSIS in November 2005. Comparing Ben Ali unfavorably to Sharon, he argued that if the latter abused Palestinians' rights, at least he respected his own people and his own courts, unlike Ben Ali. It further accused Ben Ali and his family of corruption. As if to disguise its persecution of Abou for his lese majesté, the government prosecuted Abou on dubious charges stemming from his alleged assault a female lawyer in 2002 and for publishing an article six months earlier critical of prison conditions in Tunisia.
On March 16, Abou appeared before an investigating judge at the Palace of Justice in Tunis to answer charges of "publishing false news capable of disturbing the public order," libeling the justice system, inciting the public to violate the law, and publishing writings "capable of disturbing the public order," pursuant to Articles 42, 44, 49, 51, 68 and 72 of the Press Code and Article 121 of the Penal Code. The charges referred to an article he had published on http://www.tunisnews.com in August 2004, headlined "Abu Ghraib of Iraq, Abu Ghraib of Tunisia"-a play on words that could also be read in Arabic as "Abu Ghraib of Iraq and the Strange Man of Tunisia," i.e., President Ben Ali.
On April 29, Judge Mehrez Hammami, of the Tunis Court of First Instance, sentenced Abou to eighteen months in prison for "insulting the judiciary" and publishing material "likely to disturb the public order," offenses under the press and penal codes, respectively.
A week earlier Abou was charged with injuring fellow lawyer Dalila Mrad during an altercation that occurred in June 2002. Mrad told Human Rights Watch that she had repeatedly lobbied the court after the incident, without success, to bring her complaint to trial. It was only after Abou's critical articles appeared that the court scheduled the case.[399] Whatever the merits of her claim, it is at best a striking coincidence that the court scheduled the case only after Abou's critical articles appeared. In a separate hearing also held on April 28, Judge Hammami sentenced Abou to two years in prison for the assault charge.
On June 20, after a hearing during which Abou was only allowed to say "yes" or "no" in response to questions, a Tunisian appeals court confirmed his sentence. Since this hearing, Abou has told his wife and lawyers that he no longer wished to pursue his right to appeal, saying "he no longer wants to participate in this bad piece of theatre."[400] He remains in prison at Le Kef. "When I see him," his wife Samia told Human Rights Watch, "his clothes are full of the blood of bugs from his mattress."
The Youths of Zarzis and Ariana
Since 2002, authorities have rounded up youths in different parts of the country, accusing them of planning to join jihadist movements and preparing terrorist attacks. Almost all of those tried so far have been convicted and sentenced to long prison terms. In most cases, the convictions were based heavily on the statements given to the police that the defendants later contested-without success-on the grounds that they had been extracted through torture or through threats of torture.
In at least two cases, the evidence for the prosecution included material that the defendants had allegedly downloaded from the Internet and that the court considered as evidence of their criminal intentions. In the context of criminal proceedings that otherwise respect the rights of the defendants, such material might be properly considered as evidence of intent, albeit quite circumstantial evidence. But in the context of the gross abuses that marked these trials, the prosecution's use of this material as evidence has spurred concerns that the ultimate effect will be to further intimidate Internet users and providers.
On April 6, 2004, a Tunis court sentenced six young men from the governorate of Medenine in the south of the country to nineteen-year-and-three-month prison terms for plotting terrorist attacks, and two defendants in absentia to twenty-six year terms on similar charges. The defendants in custody claimed they had been tortured into confessing and into implicating each other, and that the police had falsified the place and date of their arrest. The judge refused to investigate these allegations, even though these "confessions" constituted the main piece of evidence in the file.[401]
In addition to their own statements, the prosecution produced a number of pages printed out from various Web sites that had allegedly been confiscated from the defendants upon their arrest. These included information on jihad, instructions on how to manufacture explosives, information about Kalashnikovs and other arms, a document concerning the simulation of an attack against the National Guard post in Zarzis using a bazooka gun, and a document on how to fraudulently use magnetic cards. The lawyers for the defense argued that there was no evidence their clients had printed out these pages, and that while the defendants admitted to having an interest in "the resistance" in Palestine and elsewhere, they denied conspiring to manufacture explosives or carry out attacks.
In another case, a group of thirteen youths, mostly from the area of Ariana, near Tunis, were convicted in June 2004 of belonging to a terrorist group and plotting attacks. As in the Zarzis case, the defendants alleged that they had been tortured into signing statements before the police and subjected to various violations of their right to a fair trial. While the defendants acknowledged an interest in the "resistance" by Muslims in places like Iraq, Palestine, and Chechnya, they denied having taken any steps toward forming a terrorist organization or toward committing acts of political violence.[402]
The Ariana prosecution, like that of the Zarzis group, relied heavily on the contested confessions of the defendants, but it also produced, as evidence of the defendants' criminal intent, inflammatory content that the defendants had allegedly downloaded from the Internet. In this case, the material consisted of compact disks (CDs) allegedly seized from one or more of the defendants. The content of the CDs included materials on jihad, Chechnya, and Palestine, but also instructions on manufacturing explosives. The police confiscated the hard drive of a computer at the home of defendant Hichem Saadi at the time of his arrest on February 5, 2003, according to the National Council for Human Rights in Tunisia, an independent rights group. The hard drive does not appear on the list of objects seized and has not been returned since, the Council reported.[403]
Abdallah Zouari
Authorities have effectively banned former political prisoner and journalist Abdallah Zouari from accessing Internet cafés. While the case appears to be unique in this respect, the treatment of Zouari nevertheless illustrates the determination of authorities to control the use of the Internet as a tool of nonviolent political dissent.
Since Zouari completed an eleven-year prison sentence in 2002, authorities have sought to silence and punish him because of his outspoken criticism of government policies, notably on human rights. Zouari has been jailed three times, confined to a rural district in Medenine, 500 kilometers from his family's home in suburban Tunis, and placed under round-the-clock police surveillance.
When arrested in 1991, Zouari was a high school Arabic teacher and a journalist with al-Fajr, an organ of the Islamist Nahdha party. His arrest was part of a massive crackdown authorities launched against that party after deciding to outlaw it. Zouari was among the Nahdha figures convicted in a mass military court trial the following year on charges of attempting to overthrow the state. Organizations that observed the trial, including Human Rights Watch, criticized it as patently unfair at the time.[404]
Zouari was sentenced to eleven years in prison and five years of "administrative control." Upon his release, authorities ordered him to reside in Hassi Jerbi, in Medenine province, a locality to which he had no connection other than that his wife's family comes from there. Zouari grew up in the Monastir area and was living at the time of his 1991 arrest in suburban Tunis, where his wife and four of his children continue to live. Tunis is listed as the place of residence on their identification cards, and the children attend school there.
Although released political prisoners in Tunisia commonly confront a range of arbitrary restrictions, the de facto internal banishment of an ex-prisoner is rare. This measure seems tailored in Zouari's case to silence someone who kept meticulous records of prison conditions and who made clear that a decade behind bars had not blunted his determination to publish criticism of government policies and collaborate openly with rights groups.
Tunisian authorities insisted, in a statement sent to Human Rights Watch dated January 28, 2005, that the penal code gave the interior minister discretion to determine Zouari's place of residence as part of his administrative control. They added that Zouari's three convictions since 2002 were pronounced by the courts for infractions of Tunisian law and that each was confirmed on appeal. This showed, they said, that Zouari's case had nothing to do with the "freedom to 'live a normal life with his family.'"
But the broader treatment of Zouari leaves little doubt that authorities are persecuting him because of his outspokenness on politics and human rights.
Zouari filed an appeal before an administrative court of his confinement shortly after it was imposed in 2002, arguing that any post-prison administrative control should not include separating him from his family, social milieu, and employment prospects. More than three years later, Zouari is still waiting for a review of his appeal. He has staged hunger strikes, most recently in September 2005, to protest the rejection of his numerous written requests to authorities for permission to visit his family.
On December 11, 2004, a Human Rights Watch representative observed what were clearly plainclothes police stationed at three different posts within 100 meters of Zouari's house. Zouari said they are there around the clock, and openly trail him by car whenever he leaves the village.
Unable to establish an Internet connection from his house, Zouari in the past tried sending and receiving information from Internet cafés in the nearby city of Zarzis. But on January 22, 2005, after Zouari had used an Internet café to disseminate news of his impending hunger strike, the district chief of security reportedly ordered the owners of all four of the cafés in Zarzis to deny him access. Zouari said this information was provided to him by one of the café owners. On subsequent efforts to enter Internet cafés Zouari has been turned back at the door.
In 2003, Zouari went to prison for protesting the denial of access to an Internet café. On April 19 of that year, Aïda Dhouib, the owner of one of the Internet cafés in Zarzis, apparently on police instructions, prevented Zouari from using a computer in her café. When Zouari filed a complaint for denial of services, the owner charged him with defaming her, an accusation he denies. A cantonal court in July 2003 convicted Zouari of defamation and sentenced him to four months in prison, even though the supposed victim did not appear in court. His own complaint was dismissed.
While free on appeal, Zouari was arrested on August 17, 2003, and made to serve the sentence. The police detained him on charges of violating his administrative control when he traveled, together with three visiting human rights lawyers, to the market town of Ben Ghardane, some 40 kilometers from his home. Zouari said at the time that he had believed that he was allowed to go to Ben Ghardane, especially after traveling there on previous occasions, under close police surveillance, without consequences. On August 29, 2003, a cantonal court gave Zouari a nine-month sentence for violating his administrative control, under Article 150 of the penal code. Zouari served that term consecutively with his earlier four-month sentence for defamation, and was freed in September 2004. In 2002, Zouari had also served two months of an eight-month sentence on an earlier charge of violating his administrative control, before being released for "humanitarian reasons."
Conclusion
Tunisia has made progress in increasing access to the Internet over the past years. It has lifted bans on some Web sites. But it continues to flout its national and international legal commitments to free expression, the right to access information, and the right to privacy by censoring the Internet, imprisoning writers for expressing their views online, and imposing undue regulations on its ISPs and Internet cafés. Hosting the second phase of WSIS in November 2005 affords Tunisia an opportunity to present itself as a leader in the global effort to spread the benefits of the information society around the world. Toward that end, the government of Tunisia should:
- Continue to invest in expanding access to the Internet, and refrain from diverting funds reserved for improving networks to improve surveillance or censorship technology.
- Immediately and unconditionally release Mohamed Abou, who was imprisoned for peacefully expressing his opinions.
- Scrupulously respect the rights of suspects and defendants in criminal cases, including counter-terrorism cases, and prohibit the use of evidence obtained by torture or without legal authorization. In cases where such abuses have taken place, tainting most of the directly relevant evidence, the court should not justify convictions on circumstantial evidence such as Web sites the defendants may or may not have visited. The Ariana and Zarzis defendants should be granted a new and fair trial, where their allegations of torture and procedural irregularities are thoroughly considered, and they should be convicted only if there is evidence that they were preparing to commit acts of violence or other legitimately criminal acts, not just that they visited inflammatory Web sites.
- Allow free and unimpeded access to Internet cafés and Internet-connected libraries for all, in particular Abdallah Zouari whom authorities have effectively banned from accessint Internet cafés, and do not compel such businesses to provide customer records without a specific court order based on a compelling and particularized showing of need in relation to the commission of a crime.
- Stop blocking Web sites for their political or their human rights content, including the following sites: http://www.ltdh.org, http://www.rsf.fr, http://www.rsf.org, http://www.nahdha.net, http://www.mdstunisie.org, http://perso.infonie.fr/tunisie-ugtef, http://www.tunisie2004.net, http://www.cprtunisie.com, http://www.tunisnews.net, http://www.tunezine.com, http://www.perspectivestunisiennes.net, http://www.kalimatunisie.com, http://www.rezoweb.com/forum/politique/nokta.shtml, http://www.globalprevention.com/marzouki.htm, http://www.nawaat.org, http://www.albadil.org, http://www.verite-action.org, http://www.alternatives-citoyennes.sgdg.org, http://tounes.naros.info, http://www.maghreb-ddh.org, http://www.islamonline.net, http://www.reveiltunisien.org, http://www.dabbour.net, and http://www.zarzis.org.
- Repeal laws that abridge the right to privacy or the right to freely access or disseminate information or opinions. In particular, reform the press and penal codes-particularly articles 42, 43, 44, 47,49, 50, 51, 52, 53, 68, 72, and 121-to remove all criminal penalties for libel, spreading "false news," and publishing material that "disrupts the public order." Such laws are incompatible with the right to freedom of expression.
- Seek to pass legislation that provides strict guarantees of the privacy of electronic communications, and that allows monitoring of email or other forms of electronic communication unless authorized by an independent court upon a compelling and particularized showing of need in relation to the commission of a crime.
- In accordance with international standards, seek to pass legislation that
oAffirmatively protects the right of writers to advocate nonviolent change of government policies or the government itself;criticize or insult the nation, the government, its symbols, or officials; and communicate information about alleged violations of international human rights and humanitarian law.
oRemoves unlimited liability from private ISPs for carrying illegal content.
oPermits the free use of encryption and other techniques to ensure the privacy of online communications. Law enforcement agencies should be allowed to decrypt private communications only upon authorization by an independent court upon a compelling and particularized showing of need in relation to the commission of a crime.
·Cease intimidation and harassment of online writers who express critical opinions or report on human rights violations. The right to freedom of expression precludes surveillance or intimidation of online journalists and monitoring or disruption of their communications via electronic or other media.
Appendix A:
In June 2005, Human Rights Watch sent the following letter to the governments of Bahrain, Egypt, Iran, Jordan, Saudi Arabia, Syria, Tunisia, and the United Arab Emirates:
Appendix B: Government Responses
Human Rights Watch Translation of the Egyptian Government's Response
- As regards Article 1-concerning laws or regulations governing the content of online information and communications-there are two types of regulation. The first, which by its very nature is dealt with by the Ministry of Culture, addresses various forms of artistic output (e.g. the censorship of immoral and indecent films). The second deals with sexual harassment, issues of personal freedom and distressing others in any way either by e-mail or other means. These regulations fall within the 2003 Communications Law, which criminalizes sexual harassment by telephone and misuse of the Internet in general. All other content, whether in emails or otherwise, is unaffected by the law and is considered the inviolate property of the user.
- As regards Article 2-concerning access the Internet-the Communications Law does not prevent any user from accessing the Internet or setting up accounts with either ISP service providers or other service providers including domestic Tel.Call landlines.
- As regards Article 4 (there is no article 3)-concerning obtaining prior government approval to access the Internet or operate a Web site-there are no legal or procedural restrictions that prevent either individuals or institutions from accessing the Internet or operating Web sites.
- As regards Article 5-concerning secrecy-ISP service providers are not required to provide the authorities with any information about their members or their activities on the Internet. The secrecy of such information is protected by law, and government authorities must obtain a court's permission before intervening to find out any information of this kind.
- As regards Article 6-concerning encryption-the law prevents communications services operators and providers from using encryption technology until they have received permission to do so from the state communications agencies, the national security services and the armed forces. It should be noted that permission is only granted if the reasons for employing encryption technology are found to be satisfactory. Such permission has already been granted on numerous occasions.
- As regards article 7-concerning content regulations-content remains unregulated except when the ISP service provider chooses to provide such regulation as a voluntary service to protect its customers from emotional distress or harassment. The government does not require the service provider to do this.
- As regards blocking and censorship, it is unregulated by the authorities. However, service providers can provide this service to protect those accessing its sites, just as service provider companies can block indecent sites to protect families. Sites may not be blocked or shut down without following the relevant legal procedures. The law allows the executive authorities to issue regulations concerning sites that threaten the safety and security of society within the framework of existing laws.
- As regards liability, there is no law that makes service providers responsible for the content of e-mail, other messages or the content of sites provided by content provider companies. Illegally hindering or interfering with such content is considered a criminal act. Content providers, not service providers, are responsible for the content of Web sites.
- As regards Internet cafés and libraries, in general terms the law does not prevent, or allow any party to interfere in, their operation. However, as is the case with all commercial activities anyone wishing to open an Internet café or library must first obtain a license from the relevant authorities. Such cafés may only be closed by court ruling.
- As regards Article 11-concerning free or low-cost Internet access-there are extensive government programs to ease and reduce the cost of Internet access. For example: the 'Free Internet Initiative' program where Internet access costs no more than the cost of a regular phone call; the technology café project that to date has set up more than 1000 cafés throughout Egypt, designed to help those who cannot afford a computer enter the world of the Internet; the Community Service Center project which aims to use Egypt's network of around 4000 post offices to offer Internet access. In addition to these projects, over the last year the government has reduced the cost of high-speed internet access (ADSL) by 50 percent, much lower than the cost in neighboring countries.
[1] Human Rights Watch telephone interview with Aktham Na`issa, September 28, 2005.
[2] On blocked sites: See "Bahrain Blocks Opposition Web Sites," BBC, March 26, 2002, http://news.bbc.co.uk/1/hi/world/middle_east/1895005.stm. On recent tests, see Open Net Initiative, Internet Filtering in Bahrain, 2004-2005, February 2005, http://www.opennetinitiative.net/studies/bahrain/.
[3] Open Net Initiative, Internet Filtering in Bahrain.
[4]Mirza al-Khuwailadi, "Saudi Internet Official Notes 500 Requests Made Daily to Block Sites," Arab News, March 30, 2001.
[5] On Saudi Arabia's filtering policy, see http://www.isu.net.sa/saudi-internet/contenet-filtring/filtring-policy.htm. On how it filters pages, see http://www.isu.net.sa/saudi-internet/contenet-filtring/filtring-mechanism.htm.
[6] Open Net Initiative, Internet Filtering in Saudi Arabia in 2004, November 2004, http://www.opennetinitiative.net/studies/saudi/.
[7] Global Voices, "Saudi Arabia Blocks Blogger and Flickr, Again," October 4, 2005, http://cyber.law.harvard.edu/globalvoices/2005/10/04/saudi-arabia-blocks-blogger-and-flickr-again/, accessed October 15, 2005.
[8] Open Net Initiative, Internet Filtering in the United Arab Emirates in 2004-2005: A Country Study, March 2005, http://www.opennetinitiative.net/studies/uae/, accessed October 15, 2005.
[9] Confidential email dated July 24, 2005, on file at Human Rights Watch. Outside the United Arab Emirates, the poem can be found at http://secretdubai.blogspot.com/2005/07/chapter-and-verse.html.
[10] As of October 5, 2005, the Libya: News and Views Web site was at http://www.libya-watanona.com.
[11] Human Rights Watch email from Ashur Shamis, June 15, 2005.
[12] For more on al-Mansuri's arrest, see "Cyber-dissident Reportedly Arrested in Tubruk," http://www.rsf.org/article.php3?id_article=13039, accessed October 15, 2005.
[13] Al-Mansuri told Human Rights Watch that the pistol had belonged to his father and that he had found the bullets on the beach while fishing.
[14] Human Rights Watch interview with `Abd al-Razik al-Mansuri, Abu Salim prison, Tripoli, May 10, 2005. Al-Mansuri told Human Rights Watch that Internal Security agents arrested him on January 12, 2005, with a search warrant and confiscated his computer, floppy discs, compact discs, and papers. At the Internal Security headquarters in Tubruk, they questioned him about articles he had written for http://www.akhbar-libya.com. On January 14, he said, the authorities drove him to Internal Security's offices in the capital, Tripoli. Most of the interrogation, al-Mansuri said, was about his articles. Around April 14, the authorities transferred him to the internal security office in the Fashlum neighborhood of Tripoli, where security officials interrogated him again, day and night. During his entire time in detention, he said, he was not allowed to see a lawyer. He did have a lawyer at his trial. He received clothes from his brother approximately three weeks later but he never met him or anyone else from his family.
[15] For an English translation of the article and the original Arabic version, see the Reporters sans frontières Web site, http://www.rsf.org/article.php3?id_article=13890, accessed August 5, 2005.
[16] "Writer Abdul Rezak al-Mansouri Sentenced to One-and-a-Half Years," Akhbar Libya, October 19, 2005,http://www.akhbar-libya.com/modules.php?name=News&file=article&sid=22040, accessed October 25, 2005; Col. Tuhami Khalid, the head of Libya's Internal Security Agency, told Human Rights Watch that he was responsible for al-Mansuri's arrest. "This man was not arrested for an article or the Internet or the radio. He can work for twenty years," Col. Khalid said. "He was arrested because he had a gun without a license." According to Khalid, al-Mansuri's case had been handled by Internal Security instead of the police because weapons possession is "a job for internal security." Internal Security generally handles political and security crimes.
[17] Human Rights Watch, The Internet in the Mideast and North Africa: Free Expression and Censorship, July 1, 1999, http://hrw.org/advocacy/internet/mena/.
[18] These investigations have included studies on Burma, Singapore, Iran, China, Bahrain, the United Arab Emirates, and Saudi Arabia. A fuller description of the methodology outlined in this report can be found in any of ONI's studies. See, for example, http://www.opennetinitiative.net/studies/iran/.
[19] Open Net Initiative, Internet Filtering in Iran in 2004-2005: A Country Study, June 21, 2005, http://www.opennetinitiative.net/studies/iran/; Tunisia Monitoring Group, Tunisia: Freedom of Expression Under Siege, February 22, 2005, http://www.ifex.org/en/content/view/full/64665/.
[20] Report of the Special Rapporteur on the promotion and protection of the right to freedom of opinion and expression to the U.N. Commission on Human Rights, January 29, 1999, E/CN.4/1999/64.
[21] For a list of countries that have ratified the ICCPR, see http://www.un.org/depts/treaty.
[22] The Johannesburg Principles on Freedom of Expression and National Security are available at http://www.article19.org/pdfs/standards/joburgprinciples.pdf.
[23]Declaration of Sana`a, January 11, 1996, Resolution 34 adopted by the General Conference at its twenty-ninth session - November 1997, http://www.unesco.org/webworld/com_media/communication_democracy/sanaa.htm, accessed
October 29, 2005.
[24] World Summit on the Information Society, Declaration of Principles, WSIS-03/GENEVA/DOC/4-E, December 12, 2003, http://www.itu.int/wsis/docs/geneva/official/dop.html, accessed October 27, 2005.
[25] Report from the Working Group on Internet Governance, WSIS-II/PC-3/DOC/5-E, August 3, 2005.
[26] Commission on Human Rights, Report on the Sixty-First Session: The Right to Freedom of Opinion and Expression, Human Rights Resolution 2005/38, See chap. XI, E/CN.4/2005/L.10/Add.11.
[27] Ibid.
[28]The right to freedom of opinion and expression, Report of the Special Rapporteur, Ambeyi Ligabo, December 17, 2004, E/CN.4/2005/64*.
[29] The Universal Declaration of Human Rights affirms in Article 12, "No one shall be subjected to arbitrary interference with his privacy, family, home or correspondence." The International Covenant on Civil and Political Rights states in Article 17, "No one shall be subjected to arbitrary or unlawful interference with his privacy, family, home or correspondence..."
[30] See Manfred Nowak, U.N. Covenant on Civil and Political Rights, CCPR Commentary, (Kehl, Strasbourg, Arlington: N.P. Engel) 1993 at pp. 291-294.
[31] United Nations Human Rights Committee, General Comment No. 16: The right to respect of privacy, family, home and correspondence, and protection of honour and reputation (Art. 17), 08/04/88, paras. 7 and 8.
[32] The ICCPR, article 17(2), states, "Everyone has the right to the protection of the law against such interference or attacks." See also Manfred Nowak, U.N. Covenant on Civil and Political Rights: CCPR Commentary (Kehl: N.P. Engel, 1993), pp. 289-290.
[33] Dinah PoKempner, "Briefing Paper: Encryption in the Service of Human Rights," August 1, 1997, http://www.aaas.org/spp/cstc/pne/events/crypto/dinah.htm.
[34] Address of H.E. Mr. Muhammad Husni Mubarak, president of the Arab Republic of Egypt, at The World Summit on the Information Society (WSIS), Geneva, December 10, 2003. http://www.itu.int/wsis/geneva/coverage/statements/egypt/eg.html, accessed September 3, 2005.
[35] President Mubarak, address to WSIS.
[36]Speech of H.E. Dr. Ahmad Nazif, prime minister of the Arab Republic of Egypt at the Pan-Arab Conference on WSIS-Phase II, Cairo, May 8, 2005. http://www.wsis-egypt.gov.eg/Ahmed'sspeeches.asp, accessed September 3, 2005.
[37] Human Rights Watch, In a Time of Torture: The Assault on Justice in Egypt's Crackdown on Homosexual Conduct, March 2004, pp. 79-93.
[38] Egyptian Ministry of Communications and Information Technology, Egypt's Information Society [White Paper], May 2005, p. 8.
[39] As an IDSC employee, Tariq Kamil, who is now minister of communications and information technology, was concerned with the dilemmas of expanding access to the Internet while limiting its content to assuage conservative forces in Egyptian society. "The security of the Internet and Intranet is also considered one of the decisive issues that will affect the growth of the Internet in the country. The Egyptian society, although an evolving economy, has its own conservative traditions. The indecent material on the Internet has triggered a lot of debates and contraversion [sic] among society groups of different ages. The Internet society is challenged with the assignment to find an acceptable model of to reduce the public's access to Internet pornography within the framework of the code of ethics." See Tariq Kamil, "Internet Commercialization in Egypt: A Country Model," paper submitted to the INET 97 conference, Kuala Lumpur, July 24-27, 1997. http://www.isoc.org/inet97/proceedings/E6/E6_2.HTM. Accessed September 3, 2005; On employment of former IDSC members, Human Rights Watch interview with a former employee of the IDSC who requested anonymity, Cairo, July 21, 2005.
[40] Tariq Kamil, "Internet Commercialization in Egypt."
[41] In 1999, a slow dial-up connection cost LE100 ($29) a month, a prohibitively high cost for most of the population.
[42]Egypt's Information Society, p. 9.
[43] Ibid., p. 19.
[44] Letter from Nabil Fahmy, Egyptian Ambassador to the United States, to Human Rights Watch, July 28th 2005 (See Appendix).
[45] `Adil al-Laqani, "The Production of a Cheap Computer for LE1,200 Appropriate to the Circumstances of the Egyptian Family," al-Ahram, June 27, 2005, p. 14 (in Arabic).
[46] Ministry of Communications and Internet Technology Web site, http://www.mcit.gov.eg/show_indicator.asp, accessed Sept. 4, 2005.
[47]Egypt's Information Society, p. 22.
[48] Faruq `Abd al-Mun`im and Muhammad Abu Zikri, "Using Computer Technology to Raise Citizens' Standard of Living and Establish an Information Society," al-Akhbar, Aug. 8, 2005 (in Arabic).
[49]Egypt's Information Society, p. 11.
[50] WiMAX transmits at a shared data rate of 70 megabytes per second (Mbps), or enough bandwidth to provide sixty businesses with the equivalent of "T1" (1.544 Mbps) connections and more than 1,000 homes with DSL-level connections simultaneously.
[51] Naji Hussain, al-Akhbar, June 8, 2005 (in Arabic).
[52]al-Hayat, May 24, 2005, p. 12 (in Arabic).
[53]Egypt's Information Society, pp. 50-74.
[54] Muhammad Sha`ban, "Internet Cafes Spread in Zaqaziq," al-Wafd, June 7, 2005, p. 9 (in Arabic).
[55]al-Hayat, January 17, 2005, p. 17 (in Arabic).
[56] Mustafa `Abd al-`Aziz, "The Internet: A Paradise of Human Rights," Nahdat al-Misr, December 18, 2004 (in Arabic).
[57] Human Rights Watch interview with Gamal Eid, Cairo, July 14, 2005. Eid has worked as a consultant to maintain Human Rights Watch's Arabic Web site.
[58] http://www.egybloggers.com
[59] http://www.baheyya.blogspot.com
[60] http://www.manalaa.net
[61] For more information, see Human Rights Watch, "Egypt: Calls for Reform met with Brutality," May 26, 2005, http://hrw.org/english/docs/2005/05/26/egypt11036.htm, accessed October 14, 2005.
[62] Human Rights Watch telephone interview with Ghada al-Shahbandar, Cairo, September 17, 2005.
[63] Ibid.
[64] Ibid.
[65] Human Rights Watch telephone interview with Shayfeenkum volunteer Najwa Hassan, Cairo, September 17, 2005.
[66] Human Rights Watch telephone interview with Ghada Al-Shahbandar, Cairo, September 17, 2005.
[67] Ibid.
[68] Ibid.
[69] Ibid.
[70]http://www.alltogether.or.kr/board/zb41pl6/view.php?id=english_photo&page=1&sn1=&divpage=1&sn=off&ss=on&sc=on&&select_arrange=headnum&desc=asc&no=7, accessed September 16, 2005.
[71] Human Rights Watch interview with Ala' `Abd al-Fattah, Cairo, July 17, 2005.
[72] Mustafa `Abd al-`Aziz, "The Internet: a Paradise of Human Rights."
[73] Reporters sans frontières, The Internet Under Surveillance: Egypt, 2004. http://www.rsf.org/article.php3?id_article=10732, accessed September 16, 2005.
[74] Ibid.
[75] Gamal Eid, The Internet in the Arab World: A New Space of Repression? (Cairo: Arabic Network for Human Rights Information, June 2004), p. 57.
[76] The Egyptian press reported several such cases over the past few years. See, for example, the case of a landlord's son arrested for using the Internet to send profane mobile phone messages to a tenant's daughter, al-Ahram, June 9, 2005, p. 26 (in Arabic), Naji al-Jirjawi, "Arrest of a Student Who Claimed, over the Internet, that There Was a Relationship Between His Aunt and Her Husband's Friend," al-Ahram, July 3, 2005, p. 33 (in Arabic), or the case of a man detained for using the Internet to send threatening messages to his manager at work, al-Wafd, June 22, 2005, p. 6 (in Arabic).
[77]Mustafa Radi quoted: "Although the Number of Internet Users Is Increasing, Cybercrime Is Not a Phenomenon in Egypt," al-Ahram, July 9, 2005, p. 14 (in Arabic); on parental suspicion about the Internet in Egypt and the Middle East, see "Tunisian Youths Use the Internet to Chat and Attract European Girls," al-Hayat, Dec. 28, 2004, p. 20 (in Arabic); Muhammad, 20, is an illustrative example: "I've become a huge internet addict. I spend most of my time chatting, trying to befriend kids from around the world. If I had the chance, I'd spend all day there;" or Muhammad Qasim, Age 18, "I have a computer at home, but I prefer not to use it. I prefer to go to Internet cafes so my strict father can't look over my shoulder. I like to communicate with my friends using chat programs." quoted in Sha`ban, "Internet Cafes."
[78] Human Rights Watch interview, Cairo, July 21, 2005.
[79]al-Ahram, February 19, 2005, p. 14 (in Arabic).
[80] "Competing Internet Cafes Threaten the Youth of Qina," al-Ahrar, February 16, 2005, p. 2 (in Arabic).
[81]al-Ahram, April 13, 2005, p. 3 (in Arabic).
[82] Sha`ban,"Internet Cafes."
[83] Ibid.
[84] Ibid.
[85] "Attorney General Says Perpetrator of al-Azhar Crime a Victim of the Internet," al-Misr al-Yawm, April 15, 2005, p. 1 (in Arabic).
[86]al-Ahram, April 15, 2005, p. 38 (in Arabic).
[87] "Brainwashing on the Internet: Web Sites of the Industry of Death and Centers for Producing Terrorism," al-Akhbar al-Yawm, April 16, 2005, p.1 (in Arabic).
[88]al-Nahda al-Misr, April 20, 2005, p. 3 (in Arabic).
[89] "The Internet: The Quickest Way to Recruit Extremists," al-Akhbar, May 16, 2005, p. 8 (in Arabic).
[90] "Terrorism.com: Making Explosives Free of Charge on the Internet-Censorship Is Difficult, but Not Impossible," al-Wafd, July 28, 2005,p. 9 (in Arabic).
[91]al-Wafd, April 13, 2005, p. 7 (in Arabic).
[92] Ibid.
[93]Misr al-Yawm, April 13, 2005 (in Arabic).
[94] "Arab Conference for Fighting Terrorism Recommends Closing Sites that Promulgate Extremism," al-Ahram, June 19, 2005, p. 8 (in Arabic); see also "Arab Conference on Terrorism Calls to Differentiate Terror from Liberation Struggle," Arabic News, June 16, 2005, http://www.arabicnews.com/ansub/Daily/Day/050616/2005061612.html, accessed September 5, 2005.
[95] Ayman Hamza, al-Misr al-Yawm, April 22, 2005; see also Al-Ahram, April 13, 2005, p. 3; and Robert al-Faris, "The Law Is Not Enough to Stop Internet Crime," al-Qahira, June 14, 2005, p. 10 (all in Arabic); Article 171 of the Egyptian penal code refers to "writings, drawings, pictures, photographs, signs, symbols, and other methods of representation." In contrast, a proposal from Egypt's government-supported National Council on Human Rights for a law allowing documents to be declassified after a limited period of time received only brief mention in the press. See al-Ahram, May 16, 2005, p. 14 (in Arabic).
[96] Egyptian Penal Code, Article 178, as amended by laws 16/1952, 29/1982, 93/1995, and 95/1996.
[97] Gamal Eid, The Internet in the Arab World, p. 58.
[98] Human Rights Watch, "Egypt: Emergency Court Acquits Political Dissident," March 11, 2004. http://hrw.org/english/docs/2004/03/11/egypt8112.htm, accessed September 3, 2005.
[99] Human Rights Watch, "Egypt: Activist Begins Hunger Strike as Detention Is Extended," August 1, 2003. http://www.hrw.org/press/2003/08/egypt080103.htm, accessed September 3, 2005.
[100] Ibid.
[101] Amnesty International, "Egypt: Further Information on Prisoner of Conscience/health concern, Ashraf Ibrahim," August 12, 2003, http://web.amnesty.org/library/Index/ENGMDE120302003?open&of=ENG-EGY, accessed October 4, 2005.
[102] Gamal Eid, p. 59.
[103] Ibid.
[104] Letter from Egyptian Ambassador to the United States Nabil Fahmy to Human Rights Watch, July 28, 2005 (For full text and Arabic original, see Appendix B).
[105] ICCPR, Article 17.1, http://www.unhchr.ch/html/menu3/b/a_ccpr.htm, accessed September 17, 2005.
[106]al-Hayat, June 7, 2003, cited in Gamal Eid, p. 60 (in Arabic).
[107] Egyptian Initiative for Personal Rights, "Parliamentarians Defend Right to Privacy of Communications: Article 65 of Communications Bill Amended," December 31, 2002, http://eipr.org/en/press/02/3112.htm, accessed September 18, 2005.
[108] Constitution of the Arab Republic of Egypt, Chapter 3, Article 47, http://www.egypt.gov.eg/english/laws/Constitution/CAdocument.asp, accessed September 3, 2005.
[109] Human Rights Watch telephone interview with Gamal Eid, Cairo, September 17, 2005.
[110] Committee to Protect Journalists, "Egypt: Journalist Sentenced to Six Months in Prison," May 3, 2002, http://www.cpj.org/news/2002/Egypt03may02na.html, accessed September 17, 2005.
[111] Case No. 34781.
[112] Complaint from Ahmad Haridi's lawyer, Abdullah al-Jindy, to the Administrative Court, copy on file with Human Rights Watch.
[113] Human Rights Watch interview with Ahmad Haridi, Cairo, September 18, 2005.
[114] Defense pleading from the State Affairs Committee to the Administrative Court, copy on file with Human Rights Watch.
[115] Defense pleading, copy on file with Human Rights Watch.
[116] Ibid.
[117] Among the many other arguments the NTRA's lawyers marshaled were that Haridi had not served the complaint to the correct office, rendering it void; had not proved that he was the editor of the site and so was able to bring a complaint on its behalf; and had not proved that they NTRA had issued the order to block the site.
[118] Letter from Ambassador Nabil Fahmy to Human Rights Watch.
[119] Amira Huwaidi, "Interpreting Wye," al-Ahram Weekly, March 29-April 4, 2001,http://weekly.ahram.org.eg/2001/527/eg2.htm, accessed August 12, 2005.
[120] Human Rights Watch interview with Gamal Eid, Cairo, July 14, 2005.
[121] Email forwarded to Human Rights Watch, July 27, 2005.
[122] Ibid.
[123] Human Rights Watch interview with Gamal Eid, Cairo, July 14, 2005.
[124] Letter from Egyptian Ambassador to the United States Nabil Fahmy to Human Rights Watch, July 28, 2005.
[125] "Crackdown on Internet Cafes Sparks Debate in Cairo," Islam Online, July 27, 2000, http://www.islamonline.net/iol-arabic/dowalia/alhadath2000-jul-27/alhadath7.asp, accessed September 18, 2005 (in Arabic), cited in Gamal Eid, p. 56.
[126]Al-Ahram, December 5, 2004 (in Arabic).
[127] Human Rights Watch telephone interview with Gamal Eid, Cairo, October 20, 2005.
[128] Interview with the Arabic Network for Human Rights Information, April 14, 2003, cited in Gamal Eid, The Internet in the Arab World.
[129] Human Rights Watch interviews with Hossam al-Bahgat, director of the Egyptian Initiative for Personal Rights, Cairo, September 18, 2005, and Gamal Eid, Cairo, July 17, 2005.
[130] As recounted by Gamal Eid in a Human Rights Watch interview, Cairo, July 17, 2005.
[131]http://www.manalaa.net/ikhwan_online_blocked, accessed September 17, 2005.
[132] "Banned Movements Are Spreading on the Spider's Web," al-Hayat, Feb. 15, 2005, p. 20 (in Arabic).
[133] Ibid.
[134] Ibid.
[135]On August 14, 1999, the South Cairo Criminal Court sentenced writer Salah Badawi, cartoonist Essam Hanafi, and then-editor-in-chief Magdi Hussain to two years in prison and fines of LE20,000 each (about U.S. $6,000) after finding them guilty of libeling Agriculture Minister and Deputy Prime Minister Yusuf Wali in a series of articles that claimed his ministry's agricultural cooperation with Israel amounted to "treason," and that he was allowing dangerous pesticides into Egypt in exchange for a cut of sales commissions. Over the course of June-July 2005, hundreds of people, mostly in the Suhaj Governorate, but also in the Alexandria and Giza Governorates, became ill after eating watermelons. Preliminary tests conducted by the Egyptian Ministry of Health on watermelon samples laid the blame on the internationally banned pesticide Temik.
[136] Human Rights Watch interview with Magdi Hussain, Cairo, August 23, 2005.
[137] "Alexandria Library Blocks Human Rights Web Sites," Arabic Network for Human Rights Information Press Release, August 14, 2005; http://www.hrinfo.net/en/reports/2005/pr0814.shtml, accessed September 18, 2005.
[138] "Khalid `Azzab: No Web Site Blocking in the Library of Alexandria," al-Misr al-Yawm, Aug. 19, 2005, p. 3 (in Arabic).
[139] Email to Human Rights Watch from Gamal Eid, September 30, 2005.
[140] For more information, see Human Rights Watch, "In a Time of Torture," http://hrw.org/reports/2004/egypt0304/.
[141] "Crackdown on Sex Crimes on the Internet," al-Wafd, December 30, 2003 (in Arabic).
[142] Several men told Human Rights Watch that this had happened: "Amir," for instance, claimed that when his interrogating officer "showed me the chat sessions we did, he said, 'Is that you?' I said, 'Yes, it's me, but these are not my conversations.' They had changed it to be all about sex." Human Rights Watch interview with Amir, Cairo, Egypt, February 9, 2003. And "Amgad" says, "Raoul had changed my profile in Adultfriendfinder.com. He had taken the photos I sent him and put them just under the profile where it was Xeroxed. So the judge thought that I was advertising myself with my photograph across the Internet." Human Rights Watch interview with Amgad, Cairo, Egypt, March 29, 2003.
[143] Some defendants tell of the torture, and retract such confessions in front of a prosecuting judge. Abdullah's court file shows him answering prosecutors:
Q: How do you explain your written statement with your handwriting on the papers printed out of your website?
A: I wrote these statements because I was terrified.
Despite his retraction, Abdullah still received a three-year sentence at the court of first instance. Prosecution report dated May 20, 2002, in court file, Qasr al-Nil Court of Misdemeanors, copy on file at Human Rights Watch.
[144] Human Rights Watch interview with Hossam al-Bahgat, director of the Egyptian Institute for Personal Rights, Cairo, September 16, 2005.
[145] Constitution of the Arab Republic of Egypt, Chapter 3, Article 47, http://www.egypt.gov.eg/english/laws/Constitution/CAdocument.asp, accessed September 3, 2005.
[146] Law 96 of 1996, Articles 6 and 7, cited in "Critical Analysis of the New Associations' Law," The Egyptian Organization for Human Rights Report, July 4, 2005. http://www.eohr.org/report/2005/re0704.htm, accessed September 19, 2005.
[147] Human Rights Watch interview with Ahmad `Abd al-Hadi, director of the Arab Union for Electronic Publishing, Cairo, August 23, 2005.
[148]International Covenant on Civil and Political Rights (ICCPR), G.A. res. 2200A (XXI), 21 U.N. GAOR Supp. (No. 16) at 52, U.N. Doc. A/6316 (1966), 999 U.N.T.S. 171, entered into force Mar. 23, 1976, http://www.unhchr.ch/html/menu3/b/a_ccpr.htm, accessed September 3, 2005.
[149] Letter from Ambassador Nabil Fahmy to Human Rights Watch.
[150] Law No. 10 of 2003, Article 65.
[151] Human Rights Watch interview with Ahmed Seif al-Islam, Cairo, August 23, 2005.
[152] Article 3, Law 162 of 1958. The Emergency Law was imposed in 1967, in the wake of the Arab-Israeli war. It was lifted briefly in May 1980 after the implementation of the Camp David accords, then reinstated after President Anwar al-Sadat's assassination in October 1981. It has been renewed every three years, most recently in 2003, in clear contradiction of Egypt's commitments under the ICCPR and the Arab Charter on Human Rights. During the recent presidential campaign, President Mubarak promised to not seek its renewal in his coming term but said he will replace it with to counter-terrorism legislation.
[153] The official name is the Law Amending Some Provisions of the Penal Code, the Criminal Procedure Code, the Law Establishing State Security Courts, the Law on Secrecy of Bank Accounts, and the Law on Weapons and Ammunition.
[154] Egyptian Penal Code, Article 178(bis-third), as amended by Laws No. 536 of 1953, No. 29 of 1982, No. 93 of 1995, and No. 95 of 1996.
[155] As amended by Laws No. 112 of 1957, No. 93 of 1995, and No. 95 of 1996.
[156] Law 96 of 1996, Article 185, cited in Amnesty International, "Egypt, Muzzling Civil Society," September 19, 2000, http://web.amnesty.org/library/Index/ENGMDE120212000?open&of=ENG-315, accessed September 18, 2005.
[157] Cited in Amnesty International, "Muzzling Civil Society."
[158] Ibid.
[159] Egyptian Penal Code, Article 98B, added by Law No. 117 of 1946 and amended by Law 311 of 1953, reads, in its entirety, "Detention for a period not exceeding five years and paying a fine of not less than fifty pounds and not exceeding five hundred pounds shall be the penalty inflicted on whoever propagates in the Republic of Egypt, by any means, the call for changing the basic principles of the Constitution or the basic systems of the social community, or the domination of one class over the other classes, or for ending a social class, overthrowing the basic social or economic systems of the State, or pulling down any of the basic systems of the social community, once the use of force or terrorism, or any other illegal method is noted in doing that. The same penalties shall be inflicted on whoever advocates in any way whatsoever the foregoing deeds."
[160] Egyptian Penal Code, Article 98B(bis), added by Law No. 635 of 1954.
[161] Egyptian Penal Code, Article 102(bis), added by Law No. 112 of 1957, then amended by Law No. 34 of 1970.
[162] Letter from Ambassador Fahmy to Human Rights Watch.
[163] Aaron Scullion, "Iran's President Defends Web Control," BBC News, December 12, 2003, http://news.bbc.co.uk/2/hi/technology/3312841.stm, accessed September 20, 2005.
[164] Iranian Blogger Hossein Derakhshan, address to the "Voices, Bits, and Bytes" conference at the Berkman Center for Internet and Society at Harvard Law School, December 10, 2004.
[165] Study conducted by the National Institute for Technology and Liberal Education, http://www.blogcensus.net/?page=lang, accessed September 20, 2005. While many of the blogs may have been located outside Iran, the vast majority of Farsi-speakers live in Iran.
[166] Iranian Student News Agency, http://www.isna.co.ir/news/NewsCont.asp?id=427457&lang=P, accessed September 21, 2005 (in Farsi).
[167] Reporters sans frontières, Internet Under Surveillance, 2004: Iran, http://www.rsf.org/article.php3?id_article=10733&Valider=OK, accessed September 20, 2005. (As of October 2005, it was available under a new address: http://www.webneveshteha.com).
[168] See http://www.khamenei.ir/EN/home.jsp.
[169] Human Rights Watch, Like the Dead in Their Coffins-Torture, Detention, and the Crushing of Dissent in Iran, June 2004.
[170] Former President Khatami quoted in Aaron Scullion, "Iran's President Defends Web Control."
[171] Nazila Fathi, "Iran Jails More Journalists and Blocks Web Sites," The New York Times, November 8, 2004.
[172]Telecommunication Company of Iran, 2005, July 2005, http://www.tci.ir/eng.asp?page=22&code=1&sm=0, accessed September 21, 2005. By comparison, Egypt, a country with a larger population, has only 4 million Internet users and fewer than 200 ISPs.
[173] Press freedom advocates have alleged that the DCCI is under the control of the Intelligence Ministry. See Reporters sans frontières, The Internet Under Surveillance, 2004: Iran, http://www.rsf.org/article.php3?id_article=10733&Valider=OK, accessed September 21, 2005.
[174] Luke Thomas, "Rise of the Internet as a Political Force in Iran," Persian Journal, March 19, 2004, http://www.iranian.ws/cgi-bin/iran_news/exec/view.cgi/2/1772/printer, accessed September 20, 2005.
[175] On the number of connected villages and the extension of fiber-optic cables in Iran: Telecommunications Company of Iran, 2005; on the number of villages and small villages in Iran: Houmam Habibi Parsa, "Country Paper: Islamic Republic of Iran," Non-Farm Employment Opportunities in Rural Areas in Asia, 2004, http://www.apo-tokyo.org/00e-books/AG-05_Non-FarmEmployment/11Iran_Non-Farm.pdf
[176] Alacatel press release, March 23, 2004, http://www.home.alcatel.com/vpr/vpr.nsf/DateKey/23032004uk, accessed September 21, 2005.
[177] Constitution of the Islamic Republic of Iran, article 23, op. cit.
[178]"Publications and the press have freedom of expression except when it is detrimental to the fundamental principles of Islam or the rights of the public. The details of this exception will be specified by law," Constitution of the Islamic Republic of Iran, article 24.
[179]International Covenant on Civil and Political Rights (ICCPR), G.A. res. 2200A (XXI), 21 U.N. GAOR Supp. (No. 16) at 52, U.N. Doc. A/6316 (1966), 999 U.N.T.S. 171, entered into force Mar. 23, 1976, article 19, http://www.unhchr.ch/html/menu3/b/a_ccpr.htm, accessed September 3, 2005.
[180] Aaron Scullion, "Iran's President Defends Web Control."
[181] Ibid.
[182]Amnesty International, Iran: A Legal System That Fails to Protect Freedom of Expression and Association, December 21, 2001, http://web.amnesty.org/library/index/engMDE130452001?Open, accessed September 21, 2005.
[183] Iranian Press Law, ratified March 19, 1986, article 4. English translation available at http://www.netiran.com/?fn=law14, accessed September 21, 2005. For a fuller discussion of the Press Law, see Human Rights Watch, As Fragile as a Crystal Glass: Press Freedom in Iran, October 12, 1999, http://www.hrw.org/reports/1999/iran/; Middle East Watch (Now Human Rights Watch/Middle East and North Africa), Guardians of Thought, (New York: Human Rights Watch, 1993), pp. 24-26.
[184] Press Law, article 6.
[185] Press Law of 1986, article 25.
[186] Press Law of 1986, article 26.
[187] Press Law of 1986, article 27.
[188] Quoted in Amnesty International, Iran: A Legal System.
[189] Office of the High Commissioner for Human Rights, CCPR General Comment 10: Freedom of Expression (Art. 19): June 29, 1983, http://www.unhchr.ch/tbs/doc.nsf/0/2bb2f14bf558182ac12563ed0048df17?Opendocument, accessed September 21, 2005.
[190]Annual Report to the UN Commission on Human Rights, Promotion and protection of the right to freedom of opinion and expression, UN Doc. E/CN.4/2000/63, para. 205.
[191] http://www.dci.ir/data4.asp, accessed October 20, 2005.
[192] Supreme Council for Cultural Revolution, "Rules and Regulations for Computer Information Providers," translated by Human Rights Watch from the Web site of the Ministry of Information and Communications Technology-Data Communications Company of Iran, http://www.dci.ir/data4.asp; on requirement to provide filtering systems: Article A, Item 6a.; on preventing indirect access through proxy servers: The Council is chaired by the president but dominated by clerics.
[193] Ibid., Article B, Items 5.2.1 - 5.2.5.
[194] Ibid., Article B, Items, 5.3.1 – 5.3.14.
[195] Ibid., Article B, Items 6.1-6.20.
[196] Ibid., Article B, Item 8.
[197] Reporters sans frontières, "400 Cybercafés Closed," May 14, 2001, http://www.rsf.org/rsf/uk/html/mo/cplp01/lp01/140501.html, accessed September 21, 2005. The cafes were allowed to re-open in June 2001.
[198] Iranian Students News Agency, "Islamic Revolution Mujahedin Organization Alarmed over Detention of Two Employees," August 15, 2004, http://www.isna.ir/Main/NewsView.aspx?ID=News-416932 (in Farsi).
[199] Human Rights Watch, "Iran: Web Writers Purge Underway," November 8, 2004, http://hrw.org/english/docs/2004/11/08/iran9631.htm.
[200] Human Rights Watch, "Iran: Judiciary Should Admit Blogger Abuse,'" April 5, 2005, http://hrw.org/english/docs/2005/04/04/iran10415.htm.
[201] Ali Mazroi's Letter to the President, December 12, 2004, http://news.gooya.com/politics/archives/020270.php, accessed October 20, 2005 (in Farsi).
[202] Human Rights Watch, "Iran: Judiciary Uses Coercion to Cover Up Torture," December 20, 2004, http://hrw.org/english/docs/2004/12/17/iran9913.htm.
[203] http://www.webneveshtha.com/weblog/?id=1249214259, accessed October 20, 2005 (in Farsi).
[204] Human Rights Watch, "Iran: Journalists Receive Death Threats After Testifying," January 6, 2005. http://hrw.org/english/docs/2005/01/06/iran9948.htm.
[205] Iranian Students News Agency, "Bloggers Cleared, Except Four," April, 20, 2005, http://www.isna.ir/Main/NewsView.aspx?ID=News-516865 (in Farsi).
[206] Iranian Students News Agency, "Bloggers' court hearing to be held soon," August 13, 2005. http://www.isna.ir/Main/NewsView.aspx?ID=News-569237, accessed October 20, 2005 (in Farsi).
[207] http://www.rooznegar.com
[208] Human Rights Watch Interview with Sina Motalebi, June 8, 2004.
[209] Ibid.
[210] Ibid.
[211] Iranian Labor News Agency, "Sina Motalebi's Father in Court," November, 9, 2004, http://www.ilna.ir/shownews.asp?code=146389&code1=1 (in Farsi).
[212] Iranian Labor News Agency, "Saeed Motalebi's Trial Is Held," November, 16, 2004 (in Farsi).
[213] Reporters sans frontières, "Appeals Court Confirms Prison for Cyber-Dissident While Blogger Is Re-Imprisoned," February 15, 2005, http://www.rsf.org/article.php3?id_article=12564, accessed September 21, 2005.
[214] Iranian Labor News Agency, "Editorial Board Member of Naqshineh Site Is Sentenced to 46 Months in Prison," August 14, 2004, http://www.ilna.ir/shownews.asp?code=119316&code1=1 (in Farsi).
[215] Iranian Labor News Agency, "Editorial Board Member," and Reporters sans frontières, "Appeals Court Confirms Prison for Cyber-Dissident While Blogger Is Re-Imprisoned," February 15, 2005, http://www.rsf.org/article.php3?id_article=12564, accessed September 21, 2005.
[216] Iranian Labor News Agency, "Editorial Board Member."
[217] Reporters sans frontières, "Appeals Court Confirms Prison for Cyber-Dissident While Blogger Is Re-Imprisoned," February 15, 2005, http://www.rsf.org/article.php3?id_article=12564, accessed September 21, 2005.
[218]Reporters sans frontières, "Release of Cyberjournalist Mojtaba Lotfi and Blogger Mohamad Reza Nasab Abdolahi," August 29, 2005, http://www.rsf.org/article.php3?id_article=14807, accessed September 21, 2005.
[219] For the full text of the blog post, as translated by Human Rights Watch, see http://www.hrw.org/campaigns/internet/iran/nasb.htm.
[220]Reporters sans frontières, "Pregnant Blogger Najmeh Oumidparvar Freed After 24 Days in Prison," March 29, 2005, http://www.rsf.org/article.php3?id_article=12655, accessed September 21, 2005.
[221] Iranian Student News Agency, "Another Blogger, Mojtaba Saminejad, Is Released," January 28, 2005, http://www.isna.ir/Main/NewsView.aspx?ID=News-487342 (in Farsi).
[222] "Latest News Regarding Saminejad's Situation," Hatef News, http://www.hatefnews.com/, May 16, 2005 (in Farsi).
[223] Iranian Student News Agency, "Saminejad Asks to be Released in Letter to the Chief of the Islamic Revolutionary Court," May 16, 2005, http://www.isna.ir/Main/NewsView.aspx?ID=News-527664 (in Farsi).
[224] Iranian Labor News Agency, "Saminejad's Trial Held Behind Closed Doors," May 20, 2005, http://www.ilna.ir/shownews.asp?code=208417&code1=1 (in Farsi).
[225] BBC Persian, "Iranian Blogger Sentenced to Two Years," June 7, 2005, http://www.bbc.co.uk/persian/iran/story/2005/06/050606_sm-madyar.shtml (in Farsi).
[226] Iranian Labor News Agency, "Saminejad's Lawyer: The Court, Instead of Freeing Saminajed, Reduced His Bail by 20 Million Toman," July 12, 2005 (in Farsi).
[227] http://www.sigarchi.com/blog.
[228] Iranian Students News Agency, "Arash Sigarchi, Editor of Gilan Emrouz, Summoned to Court," January 16, 2005, http://news.gooya.com/politics/archives/022220.php, accessed January 16, 2005 (in Farsi).
[229] BBC Persian, "Arash Sigarchi released," March 17, 2005 (in Farsi).
[230]Azadi Bayan interview with Arash Sigarchi, http://mag.gooya.com/politics/archives/025449.php (in Farsi).
[231] Iranian Students News Agency, "Sigarchi's Appeals Court Trial Held on Thursday," June 10, 2005, http://www.isna.ir/Main/NewsView.aspx?ID=News-538922 (in Farsi).
[232]"Secure Computing has sold no licenses to any entity in Iran, and any use of Secure's software by an ISP in Iran has been without Secure Computing's consent and is in violation of Secure Computing's End User License Agreement. We have been made aware of ISPs in Iran making illegal and unauthorized attempts to use of our software. Secure Computing is actively taking steps to stop this illegal use of our products. Secure Computing Corporation is fully committed to complying with the export laws, policies and regulations of the United States. It is Secure Computing's policy that strict compliance with all laws and regulations concerning the export and re-export of our products and/or technical information is required. Unless authorized by the U.S. Government, Secure Computing Corporation prohibits export and reexport of Secure products, software, services, and technology to Iran and destinations subject to U.S. embargoes or trade sanctions." Statement of Secure Computing Chief Executive Officer John McNulty, issued June 22, 2005 and cited in, "Country Study: Internet Filtering in Iran, 2004-2005," OpenNet Initiative, June 21, 2005, http://www.opennetinitiative.net/studies/iran/ONI_Country_Study_Iran.pdf.
[233] Open Net Initiative, Country Study: Internet Filtering in Iran, 2004-2005, June 21, 2005, http://www.opennetinitiative.net/studies/iran/ONI_Country_Study_Iran.pdf.
[234] Human Rights Watch telephone interview with Aktham Na`issa, September 28, 2005.
[235] Confidential email on file with Human Rights Watch.
[236] Translation of President Bashar al-Assad's July 17, 2001, inauguration speech provided by the Syrian Arab News Agency (SANA), via http://www.al-bab.com/arab/countries/syria/bashar00a.htm, as revised on March 31, 2001. The more recent version currently posted on the government news agency's site, http://www.sana.org/english/Prisedent/President%20Speech/Bashar%20al-Assad%20speech%20after%20taking%20oath.htm, is significantly shorter and no longer contains widely quoted passages speaking of the need for reform. Both sites accessed September 29, 2005.
[237] Donna Abu-Nasr, "Syrian Chief Caught Between Old Guard, Own Reformist Ideas," Associated Press, March 13, 2005, http://www.detnews.com/2005/nation/0503/14/A05-115675.htm, accessed September 29, 2005.
[238] Riad Saif, an independent member of parliament arrested September 6, 2001, quoted in Alan George, Syria: Neither Bread nor Freedom (London: Zed Books, 2003) p. 23.
[239] Syria's government press "unreadable:" Ammar Abdulhamid, "Syrian Media Reform: A Glass Half Full or Half Empty?" The Daily Star, Beirut, February 5, 2005, http://www.dailystar.com.lb/article.asp?edition_id=10&categ_id=5&article_id=12398, accessed September 29, 2005. On Syria's record of detaining and torturing journalists, see, e.g. the International Press Institute's and UNESCO's dossiers on Nizar Nayyuf, http://www.freemedia.at/IPIReport/Heroes_IPIReport2.00/35Nayyouf.htm and http://portal.unesco.org/ci/en/ev.php-URL_ID=5711&URL_DO=DO_TOPIC&URL_SECTION=201.html, respectively, or Amnesty International, "Syria: Smothering Freedom of Expression: the Detention of Peaceful Critics," June 6, 2002, http://web.amnesty.org/library/Index/ENGMDE240072002?open&of=ENG-SYR, accessed September 29, 2005.
[240] Human Rights Watch telephone interview with Ayman `Abd al-Nur, October 2, 2005.
[241] Ibid.
[242] Ibid.
[243] Ibid.
[244] Anthony Shadid, "Syria's Voices of Change," Washington Post, May 25, 2005, http://www.washingtonpost.com/wp-dyn/content/article/2005/05/24/AR2005052401431_pf.html, accessed May 25, 2005.
[245] Joe Pace interview with Ayman Abd al-Nour, July 25, 2005, http://faculty-staff.ou.edu/L/Joshua.M.Landis-1/syriablog/2005/07/interview-with-ayman-abdelnour-by-joe.htm, accessed September 30, 2005.
[246] Ibid.
[247] Human Rights Watch telephone interview with Ayman `Abd al-Nur, October 2, 2005.
[248] Quoted in Megan K. Stack, "Arabs Take Bytes at Regimes," The Los Angeles Times, September 12, 2005, http://www.latimes.com/technology/la-fg-technology12sep12,1,3706022,full.story?ctrack=1&cset=true, accessed October 1, 2005.
[249] Maha Taki, Weblogs, Bloggers and the Blogosphere in Lebanon, Syria and Jordan: An Exploration, dissertation submitted in fulfillment of the requirements for the M.A. Degree in Communications, University of Westminster, London, 2005.
[250] Ibid.
[251] Integrated Regional Information Network (IRIN), "Syria: Focus on Freedom of Speech Through the Internet," September 4, 2005, http://www.irinnews.org/print.asp?ReportID=48894, accessed October 15, 2005.
[252] Confidential email to Human Rights Watch, September 2005.
[253] Confidential email to Human Rights Watch, October 2005.
[254] Hasna Askhita, "The Internet in Syria," paper delivered at the International Federation of Library Associations and Institutions' meeting in Beirut, March 2-4, 2000, http://nmit.georgetown.edu/papers/askhita2.htm, accessed June 29, 2005.
[255] Alan George, p. 136.
[256] Interview with Joe Pace, August 7, 2005, http://faculty-staff.ou.edu/L/Joshua.M.Landis-1/syriablog/2005/08/anwar-al-bunni-interview-with-syrias.htm, accessed October 1, 2005.
[257] Confidential email to Human Rights Watch, September 2005.
[258] Confidential email to Human Rights Watch, September 2005.
[259] IRIN, "Syria: Focus on Free Expression."
[260] Human Rights Watch telephone interview with Aktham Na`issa, September 28, 2005.
[261] Human Rights Watch telephone interview with Anwar al-Bunni, August 22, 2005.
[262] Ibid.
[263] Human Rights Watch telephone interview with Anwar al-Bunni, September 28, 2005.
[264] Email from `Ammar `Abd al-Hamid to Human Rights Watch, October 2005.
[265] IRIN, "Syria: Focus on Free Expression."
[266] Email from `Ammar `Abd al-Hamid to Human Rights Watch, October 2005.
[267] Amr Salem, "Syria's Cautious Embrace," Middle East Insight, March-April 1999, pp. 49-50.
[268] Confidential email to Human Rights Watch, August 2005.
[269] http://www.alayham.com/modules/news/article.php?storyid=359, accessed October 10, 2005.
[270]http://www.190.sy/index.php?d=251, accessed October 2, 2005.
[271]http://www.scs-net.org/modules.php?op=modload&name=connections&file=dialup_en, accessed October 2, 2005.
[272] Ibid. Syrian online writers and human rights activists Human Rights Watch spoke or corresponded with also consistently used this number.
[273] Serene Zawadeh, Syria Internet and Datacomm Landscape Report (Amman: Arab Advisors Group, June 2005), p. 32.
[274] Letter from Imad Moustapha, Ambassador of Syria to the United States, to Human Rights Watch, received August 2, 2005 (See Appendix).
[275] Ibid.
[276] Human Rights Watch telephone interview with Aktham Na`issa, September 28, 2005; confidential email from a Syrian blogger to Human Rights Watch, September 2005.
[277] The Constitution of the Arab Republic of Syria, Article 38, http://www.oefre.unibe.ch/law/icl/sy00000_.html, accessed September 30, 2005.
[278] Ibid.
[279]International Covenant on Civil and Political Rights (ICCPR), G.A. res. 2200A (XXI), 21 U.N. GAOR Supp. (No. 16) at 52, U.N. Doc. A/6316 (1966), 999 U.N.T.S. 171, entered into force Mar. 23, 1976, article 19, http://www.unhchr.ch/html/menu3/b/a_ccpr.htm, accessed September 3, 2005.
[280] ICCPR, article 17.
[281] Human Rights Watch telephone interview with Anwar al-Bunni, September 28, 2005.
[282] The short-lived government of the High Arab Revolutionary Command, which had seized power in a 1961 coup and seceded from the United Arab Republic, formed with Egypt in 1958, first declared the state of emergency with Legislative Decree No. 51(5) of December 22, 1962.
[283] Legislative Decree No. 1 of March 9, 1963.
[284] The continued application of the Emergency Law may be invalid under its own provisions. The source of the law, Legislative Decree No. 51(5) of 1962, holds that a "State of Emergency shall be declared by a decree from the Cabinet, presided over by the President of the Republic. It must be carried out by a majority of two-thirds and be made known to the chamber of deputies at its next meeting." But the 1963 law was issued by military decree, was never approved by the government, and was never submitted to the chamber of deputies.
[285] U.N. Human Rights Committee, Consideration of Reports Submitted by States Parties under Article 40 of the Covenant. Second Periodic Report of States Parties Due in 1984. Syrian Arab Republic, August 25, 2000, available at http://www.arabhumanrights.org/countries/syria/ccpr/ccpr-c-syr-2000-2e.pdf.
[286]U.N. Human Rights Committee, Consideration of Reports Submitted by States Parties Under Article 40 of the Covenant. Concluding Observations of the Human Rights Committee. Syrian Arab Republic, CCPR/CO/84/SYR, July 28, 2005, available at http://www.ohchr.org/english/bodies/hrc/hrcs84.htm, accessed September 30, 2005.
[287] A fuller analysis of the 2001 Press Law is available in Human Rights Watch, Memorandum to the Syrian Government, Decree No. 51/2001: Human Rights Concerns, January 31, 2001, http://hrw.org/backgrounder/mena/syria/.
[288] Human Rights Watch telephone interview with Aktham Na`issa, September 28, 2005.
[289] Alan George, Syria: Neither Bread Nor Freedom, p. 121. Nayyuf was sentenced to ten years in prison in 1992 as a founding member of the Committee for the Defense of Democratic Freedoms and Human Rights in Syria (CDF). He was held in solitary confinement, subjected to torture, and denied access to medical treatment for nine years before he was released in 2001.
[290] Decree No. 50/2001, Article 51a.
[291] Ibid., Article 12.
[292] Ibid., Article 44d.
[293] Ibid., Article 55(b).
[294] Human Rights Watch telephone interview with Anwar al-Bunni, September 28, 2005.
[295] Human Rights watch telephone interview with Aktham Na`issa, September 28, 2005.
[296] Letter from Ambassador Moustapha to Human Rights Watch.
[297] Ibid.
[298] Human Rights Watch telephone interview with a Syrian who requested anonymity, September 30, 2005.
[299] For more on the exceptional courts, see Middle East Watch, pp. 23-26.
[300] Human Rights Watch telephone interview with Aktham Na`issa, September 28, 2005. Aktham Na`issa was charged with "opposing the objectives of the revolution," "disseminating false information," and "affiliation with international organizations." The government acquitted Na`issa of all charges on June 26, 2005. Before his acquittal, eleven international human rights organizations, including Human Rights Watch, recognized his work with the Martin Ennals Award for Human Rights Defenders. More information about the prize and Na`issa is available at http://hrw.org/english/docs/2005/01/12/syria9994.htm.
[301] In June 2002, for example, he was beaten and forcibly ejected from the court when he demanded an investigation into allegations of mistreatment made by his client, 'Arif Dalila, an economist, Damascus University professor, and a founder of a civil-society forum who was arrested on September 9, 2001, after appearing on Al-Jazeera.
[302] Human Rights Watch telephone interview with Anwar al-Bunni, August 22, 2005.
[303] Alan George, p. 136. George does not supply the woman's name.
[304] Syrian Human Rights Commission, "Urgent appeal to release Abdel Rahman Rafiq al-Shaghouri," June 16, 2003. http://www.shrc.org.uk/data/aspx/d1/1191.aspx, accessed July 25, 2005.
[305] U.N. Commission on Human Rights, Report of the Special Rapporteur on Torture and Other Cruel, Inhuman or Degrading Treatment or Punishment, Theo van Boven, Addendum: Summary of Information, Including Individual Cases, Transmitted to Governments and Replies Received, E/CN.4/2004/56/Add.1, March 23, 2004.
[306] Cited in Amnesty International, "Syria: Further information on Prisoner of conscience/legal concern/torture and other ill-treatment, 'Abdel Rahman Shaghouri," June 21, 2004, http://web.amnesty.org/library/Index/ENGMDE240462004?open&of=ENG-315, accessed October 1, 2005.
[307] Amnesty International and Reporters sans frontières have said the paper was based in the United Arab Emirates. Syrian publisher and women's rights activist Ma`an `Abd al-Salam told Human Rights Watch in an August 23, 2005, telephone interview that the paper was Kuwait's al-Siyasa.
[308] Human Rights Watch telephone interview with their attorney, Anwar al-Bunni, August 22, 2005; Human Rights Watch telephone interview with Syrian human rights activist and publisher Ma`an `'Abd al-Salam, August 22, 2005.
[309] Statement from the Syrian Human Rights Organization, November 1, 2005 (in Arabic).
[310] Reporters sans frontières, "Three Internet Users Sentenced to Prison Terms of Two to Four Years," July 26, 2004, http://www.rsf.org/article.php3?id_article=11013, accessed October 1, 2005.
[311] Human Rights Watch telephone interview with Anwar al-Bunni, September 28, 2005.
[312]Reporters sans frontières, "Reporters Without Borders Calls on Syrian President for Release of Journalism Student," February 16, 2004, http://www.rsf.org/article.php3?id_article=9261, accessed October 1, 2005.
[313] Reporters sans frontières, "Syria: Massud Hamid," http://www.rsf.org/article.php3?id_article=15053, accessed October 1, 2005.
[314] For more on the Syrian government's treatment of the Kurdish minority, see Human Rights Watch, Syria: The Silenced Kurds, October 1996, http://hrw.org/reports/1996/Syria.htm. Amnesty International has reported that Hamid's jailors tortured him and beat him on his head and his back for participating in a hunger strike with fellow Kurdish prisoners in protest of prison conditions. Amnesty International, "Syria: Medical Action HealthConcern: Six Imprisoned Human Rights Defenders," http://web.amnesty.org/library/Index/ENGMDE240542005?open&of=ENG-SYR, accessed October 1, 2005.
[315] Human Rights Watch telephone interview with Anwar al-Bunni, August 22, 2005;The Egyptian Organization for Human Rights, "The Egyptian Organization for Human Rights Calls on Syrian Authorities to End Intimidation, Kidnapping, and Arbitrary Detention of Human Rights Activists," June 4, 2005, http://www.eohr.org/press/2005/pr0604.htm, accessed September 10, 2005.
[316] Letter from Ambassador Moustapha to Human Rights Watch.
[317] Confidential email to Human Rights Watch, October 2005.
[318] Human Rights Watch telephone interviews with Maan Abd al-Salam, Anwar al-Bunni, Aktham Na`issa, and Ayman Abd al-Nour over the course of August and September 2005. See also Amnesty International, "Syria Imprisons Internet Users," August 2004, http://web.amnesty.org/wire/August2004/Syria; Committee to Protect Journalists, Attacks on the Press, 2004: Syria, March 15, 2005, http://www.cpj.org/attacks04/mideast04/syria.html; Reporters sans frontières, The Internet Under Surveillance, 2004: Syria, http://www.rsf.org/rubrique.php3?id_rubrique=433.
[319] Confidential emails from Syrian bloggers, Internet users, and former residents of Syria to Human Rights Watch.
[320] Reporters sans frontières, The Internet Under Surveillance, 2004: Syria,http://www.rsf.org/article.php3?id_article=10767, accessed October 27, 2005.
[321] IRIN, "Syria: Focus on Freedom of Speech Through the Internet," September 4, 2005, http://www.irinnews.org/report.asp?ReportID=48894&SelectRegion=Middle_East&SelectCountry=SYRIA, accessed October 2, 2005.
[322] Confidential emails from Syrian bloggers and computer programmers to Human Rights Watch, September – October 2005.
[323] al-Ayham Salih, http://www.alayham.com/modules/news/article.php?storyid=366, October 6, 2005, accessed October 27, 2005.
[324] Confidential email to Human Rights Watch, October 2005.
[325] Comments left by al-Ayham Salih, http://www.sif-syria.com/index.php?option=com_nobforum&Itemid=41&func=view&id=102&catid=13, accessed October 31, 2005.
[326] Confidential email on file with Human Rights Watch, November 2, 2005.
[327] Comments left by al-Ayham Salih on http://www.sif-syria.com.
[328] Ibid.
[329] For more on the free software movement, see http://en.wikipedia.org/wiki/Free_software_movement; for Stallman's report from Syria, see, for example, http://www.fsf.org/blogs/rms/entry-20050315.html, accessed October 31, 2005.
[330] Confidential email to Human Rights Watch, October 2005.
[331] Letter from Ambassador Moustapha to Human Rights Watch.
[332] Ibid.
[333] Human Rights Watch interview with Mokhtar Yahyaoui, Tunis, September 8, 2005.
[334] Human Rights Watch interview with Ridha Barkati, Tunis, September 8, 2005.
[335] Statement made at a meeting between Tunisian Minister of Communications Technology Montasser Ouaili and the IFEX Tunisia Monitoring Group, Tunis, September 7, 2005. Human Rights Watch attended as an observer.
[336]http://www.smsitunis2005.org/plateforme/index.php?lang=en, accessed October 12, 2005.
[337] Human Rights Watch, The Internet in the Mideast and North Africa
[338] ATI Web site, http://www.ati.nat.tn/stats/. Included in this figure are 69,915 subscriptions, 9,178 subscriptions for high-speed access, and 118,504 email accounts from domains ending in the .tn suffix. The number of users may be higher. At a September 7, 2005, meeting between Tunisian Minister of Communications Technology Montasser Ouaili and free expression and human rights groups in Tunis, the minister estimated there were more than 1 million people online in Tunisia.
[339] Letter from Riadh Dridi, chargé d'affairs a.i. at the Embassy of Tunisia to the United States, to Human Rights Watch, August 10, 2005.
[340] Ibid.
[341] Government figures vary. The Tunisian Embassy in Washington, D.C., put the number at "over eighty," the Minister of Communications Technologies put the number at sixty.
[342] Letter from Chargé d'Affairs Dridi to Human Rights Watch.
[343] Ibid.
[344] Meeting with Tunisian Minister of Communications Technology Montasser Ouaili.
[345] Letter from Chargé d'Affairs Dridi to Human Rights Watch.
[346] Meeting with Tunisian Minister of Communicaitions Technology Montasser Ouaili.
[347] See Human Rights Watch, The Internet in the Mideast and North Africa: Tunisia,http://hrw.org/advocacy/internet/mena/tunisia.htm.
[348] PlaNet Tunisie Press Release, "PlaNet Tunisie partenaire Wanadoo…," April 8, 2005, http://www.babnet.net/rttdetail-2438.asp, accessed September 25, 2005; on protests, see, for example, "RSF Expresses Concern over Proposed ISP Partnership in Tunisia," Letter from Robert Ménard, Secretary-General of Reporters sans frontières, to Oliver Sichel, the director general of the Wanadoo Internet company, http://www.ifex.org/en/content/view/full/65996, accessed September 25, 2005.
[349]http://www.wanadoo.tn/Offre_wanadoo_tunisie.php, accessed September 25, 2005.
[350] See the company Web sites, at http://www.gnet.tn/, http://www.hexabyte.tn/, http://www.topnet.tn/, and http://www.tunet.tn/, respectively, accessed September 25, 2005.
[351] Human Rights Watch, The Internet in the Mideast and North Africa.
[352]International Covenant on Civil and Political Rights (ICCPR), G.A. res. 2200A (XXI), 21 U.N. GAOR Supp. (No. 16) at 52, U.N. Doc. A/6316 (1966), 999 U.N.T.S. 171, entered into force Mar. 23, 1976, article 19, http://www.unhchr.ch/html/menu3/b/a_ccpr.htm, accessed September 3, 2005.
[353] African (Banjul) Charter on Human and Peoples' Rights, OAU Doc. CAB/LEG/67/3 rev. 5, 21 I.L.M. 58 (1982), Adopted June 27, 1981, entered into force October 21, 1986. http://www.africa-union.org/Official_documents/Treaties_%20Conventions_%20Protocols/Banjul%20Charter.pdf, accessed September 24, 2005.
[354] "Des traites ratifies par le President de la Republique et approuves par la Chambre des deputes ont une autorite superieure a celle des lois." The Constitution of the Republic of Tunisia, Article 32, http://www.tunisieinfo.com/references/constitution/const_chap2.html, accessed September 24, 2005.
[355] Articles 8 and 9 of the Constitution of the Republic of Tunisia, Article 9 as amended in 2002, http://www.referendum-tunisie.org/english/referendum/major-amendments.html, accessed September 24, 2005.
[356] Constitution of the Republic of Tunisia, Article 5, as amended in 2002, http://www.referendum-tunisie.org/english/referendum/major-amendments.html, accessed September 24, 2005.
[357] Tunisian Minister of Justice and Human Rights Bechir Tekkari stated this in the September 7, 2005, meeting with the World Association of Community Radio Broadcasters, Article 19, the International Publishers' Association, and the World Press Freedom Committee, which Human Rights Watch attended as an observer.
[358] Cited in "Attacks on the Press, Tunisia–2001," The Committee to Protect Journalists, http://www.cpj.org/attacks01/mideast01/tunisia.html, accessed June 24, 2005.
[359] Letter from Chargé d'Affairs Dridi to Human Rights Watch. Tunisia, in a letter sent in 2000 to the U.N. Commission on Human Rights, denied that the Press Law applies to the Internet. See letter dated May 26, 2000, from the Permanent Representative of Tunisia to the United Nations Office at Geneva, addressed to the United Nations High Commissioner for Human Rights, July 14, 2000, E/CN.4/2001/4, attaching the reply of the Tunisian Government to the report of the Special Rapporteur: "In referring to Internet access, it is regrettable that the Special Rapporteur misinterpreted certain legal texts. He states, without any basis in legal precedent or administrative regulations, that the regime of responsibility laid down by the Press Code is applicable to the Internet." http://www.unhchr.ch/Huridocda/Huridoca.nsf/0/f70f1154a1429481c12569ac004f22ee/$FILE/G0014311.doc, accessed October 4, 2005.
[360]Law Number 75-32 of April 1975, as amended in 1993, http://recherche.legisnet.com/FMPro, accessed September 25, 2005.
[361] See, for example, Committee to Protect Journalists, "Attacks on the Press, 2001-Tunisia," http://www.cpj.org/attacks01/mideast01/tunisia.html, accessed September 25, 2005; For more on local reaction to the changes, see Ligue Tunisienne pour la Défense des Droits de l'Homme, "Report on the Freedom of Information in Tunisia," http://www.iris.sgdg.org/actions/smsi/hr-wsis/ltdh03-press-en.pdf, accessed September 24, 2005; Internews, "Arab Media Research: Tunisia," http://www.internews.org/arab_media_research/tunisia.pdf, accessed September 24, 2005.
[362]Ligue Tunisienne pour la Défense des Droits de l'Homme, "Report on the Freedom of Information in Tunisia," http://www.iris.sgdg.org/actions/smsi/hr-wsis/ltdh03-press-en.pdf
[363]Annual General Assembly Report of the Human Rights Committee, UN Doc. A/50/40, October 3, 1995, para. 89, http://www.unhchr.ch/tbs/doc.nsf/0/bbd592d8d48a76fec12563f000586adc/$FILE/N9602481.pdf, accessed September 24, 2005.
[364] Office of the High Commissioner for Human Rights, CCPR General Comment 10: Freedom of Expression (Art. 19): June 29, 1983, http://www.unhchr.ch/tbs/doc.nsf/0/2bb2f14bf558182ac12563ed0048df17?Opendocument, accessed September 21, 2005.
[365]Annual Report to the UN Commission on Human Rights, Promotion and protection of the right to freedom of opinion and expression, UN Doc. E/CN.4/2000/63, para. 205.
[366] The text of the law is online in French at http://www.jurisitetunisie.com/tunisie/codes/terror/terror1015.htm. For a critique of the law, see Amnesty International, "Tunisia: New Draft 'Anti-Terrorism' Law Will Further Undermine Human Rights," Amnesty International Briefing Note to the European Union EU-Tunisia Association Council, September 30, 2003, http://web.amnesty.org/library/Index/ENGMDE300212003?open&of=ENG-TUN, accessed September 24, 2005.
[367] Ibid.
[368] ICCPR, Article 20(2).
[369] Arrêté du ministre des communications du 22 mars 1997, portant approbation du cahier des charges fixant les clauses particulières à la mise en œuvre et l'exploitation des services à valeur ajoutée des télécommunications de type INTERNET.
[370] Décret no. 97-501 du 14 mars 1997 relatif aux services à valeur ajoutée des télécommunications.
[371] Arrêté du ministre des communications du 9 septembre 1997 fixant les conditions d'utilisation du cryptage dans l'exploitation des services à valeur ajoutée des télécommunications.
[372]Décret n° 2001-2727 du 20 novembre 2001, fixant les conditions et les procédures d'utilisation des moyens ou des services de cryptage à travers les réseaux des télécommunications, ainsi que l'exercice des activités y afférentes, http://www.certification.tn/decret4.htm.
[373] Letter from Chargé d'Affairs Dridi to Human Rights Watch.
[374]Arrêté du ministre des communications du 9 septembre 1997 fixant les conditions d'utilisation du cryptage dans l'exploitation des services à valeur ajoutée des télécommunications.
[375] Letter from Chargé d'Affairs Dridi to Human Rights Watch.
[376] Meeting between Tunisian Minister of Communications Technology Montasser Ouaili and free expression and human rights groups, Tunis, September 7, 2005.
[377] Human Rights Watch, The Internet in the Mideast and North Africa.
[378] Ibid.
[379] Report of Mr. Abid Hussain, Special Rapporteur on the promotion and protection of the right to freedom of opinion and expression: Report on the mission to Tunisia, 23 February 2000, E/CN.4/2000/63/Add.4, http://www.unhchr.ch/Huridocda/Huridoca.nsf/0/2b57ac47e528be6d802568b7004f8150/$FILE/G0011272.pdf
[380] Special Rapporteur's report, p.11, para. 46.
[381] Conducted in January 2005 by the ONI in cooperation with the free expression groups collectively known as the Tunisia Monitoring Group, available at "Tunisia: Freedom of Expression Under Siege," http://www.ifex.org/download/en/FreedomofExpressionunderSiege.doc.
[382] The Web site of the French newspaper Le Figaro was also available.
[383] Members of the Tunisia Monitoring Group, who kindly allowed a Human Rights Watch researcher to accompany them to Tunisia as an observer, include Article 19, Canadian Journalists for Free Expression, Egyptian Organisation for Human Rights, Index on Censorship, International Federation of Journalists, International Federation of Library Association and Institutions, International Publishers' Association, Journaliste en Danger, Media Institute of Southern Africa, Norwegian PEN, Writers in Prison Committee of International PEN, World Association of Newspapers, World Press Freedom Committee, and the World Association of Community Radio Broadcasters. The results of their January 2005 tests are available at "Freedom of Expression Under Siege," op. cit.
[384] Interestingly, when a Human Rights Watch researcher tried to search for "tunisnews" on Google and Yahoo! from Tunis, he received the same response as when trying to access a site tests confirmed as blocked: http://www.google.com/search?q=TUNISNEWS&sourceid=mozilla-search&start=0&start=0&ie=utf-8&oe=utf-8&client=firefox-a&rls=org.mozilla:en-US:official;
http://www.yahoo.com/_ylh=X3oDMTEwdnZjMjFhBF9TAzI3MTYxNDkEdGVzdAMwBHRtcGwDaW5kZXgtY3Nz/r/sx/*-http://search.yahoo.com/search?p=TUNISNEWS&sm=Yahoo%21+Search&fr=FP-tab-web-t&toggle=1&cop=&ei=UTF-8.
[385] See, for example, Open Net Initiative, Country Study: Internet Filtering in Iran, 2004-2005, June 21, 2005.
[386] Human Rights Watch checked SmartFilter's classification of these sites using Secure Computing's SmartFilterWhere tool, located at http://www.securecomputing.com/sfwhere/index.cfm, September 26, 2005. http://www.lgf.org.uk, the Web site of the U.K.-based Lesbian & Gay Foundation, was blocked in Tunisia in early September 2005, but by the end of the month, it was off SmartFilter's lists.
[387] Ibid.
[388] That some proxies on SmartFilter's lists are still available in Tunisia suggests that Tunisia may be using an older version of the software. New proxy servers spring up quickly as old ones are blocked.
[389] Classifications checked using Secure Computing's SmartFilterWhere tool, September 26, 2005.
[390] Statement made at a meeting between Tunisian Minister of Communications Technology Montasser Ouaili and free expression and human rights groups, Tunis, September 7, 2005.
[391]Arrêté du Ministre des Communications du 10 décembre 1998 complétant l'arrêté du 19 mars 1998, portant approbation du cahier des charges fixant les conditions techniques et administratives d'exploitation des Centres Publics des Télécommunications, http://www.sospublinet.tn/cahier.htm, accessed September 26, 2005.
[392] e.g. Human Rights Watch, The Internet in the Mideast and North Africa, and IFEX, "Tunisia: Freedom of Expression Under Siege."
[393] Meeting between the minister of communications technology and free expression and human rights groups, Tunis, September 7, 2005.
[394] Sihem Bensedrine, "La navigation sous haute surveillance," Kalima Tunisie, http://www.kalimatunisie.com/html/num1/Internet.htm, accessed October 3, 2005.
[395] Human Rights Watch interview with Sihem Bensedrine, Tunis, September 8, 2005.
[396] See Human Rights Watch, "Tunisia: Release Urged for Online Magazine Editor," June 6, 2002, http://hrw.org/english/docs/2002/06/06/tunisi4025.htm, accessed September 26, 2005.
[397] Ibid.
[398]Yahiaoui received several awards in recognition of his courage, including, in 2004, the Hellman-Hammett award for persecuted writers. Human Rights Watch administers the Hellman/Hammett grant program for writers around the world who have been victims of political persecution and are in financial need. The grants are financed by the estate of the playwright Lillian Hellman in funds set up in her name and that of her long-term companion, the novelist Dashiell Hammett. See http://www.hrw.org/about/info/helham.html.
[399] Human Rights Watch interview with Dalila Mrad, Tunis, April 28, 2005. Members of Abou's defense team told Human Rights Watch that in the incident, Abou had merely shoved Mrad in response to her assaulting him, but had caused her no lasting injury. They further claimed that the government doctor who initially examined her after the altercation with Abou found only that she was in a distressed mental state. The medical report used as evidence in Abou's trail, defense lawyers said, was issued following an traffic accident she had in 2003, and that she had received an insurance payment of 40,000 Tunisian dinars ($29,902) in compensation for injuries sustained by her and her children in this accident. (Human Rights Watch interview with Leila Ben Mahmoud, attorney for Mohamed Abou, Tunis, September 10, 2005.)
[400] Human Rights Watch interview with Samia Hammouda Abou, Tunis, September 10, 2005.
[401] The six defendants in custody were Omar Farouk Chalendi, Hamza Mahrouk, Omar Rached, Ridha Brahim, Abdelghaffar Guiza and Aymen M'charek. Each got nineteen years and three months in prison and five years of administrative control, for "forming a criminal group aiming to harm persons and property through intimidation and terror(in essence, criminal conspiracy to commit terrorist acts); manufacture, assembly, transport, and storing of materials used in explosives; and possession without authorization of tools and materials that would allow the assembly of explosive devices, for theft and attempted theft, and holding meetings without authorization." Two defendants who were convicted in absentia are believed to be living in Europe. A ninth, who was 17 at the time of his arrest, Abderrezak Bourguiba, was sentenced in April 2004 by a court for minors to twenty-five months in prison. In July 2004, an appeals court reduced the sentences for the six men to thirteen years, and another appeals court reduced Bourguiba's sentence to twenty-four months.
[402] The defendants, Hichem Saadi, Anis Hedhili, Riadh Laouati, Kamel Ben Rejeb, Kabil Naceri, Mohammed Ayari, Ahmed Kasri, Ali Kalaï, Bilal Beldi, Hassen Mraïdi, Sami Bouras, Sabri Ounaïess, and Mohamed Oualid Ennaifer (in absentia), were tried in two separate trials before the Tunis Court. All of them denied belonging to a terrorist group or planning any violent action of any kind. The courts convicted all of them in June 2004, sentencing them to up to sixteen years in prison and ten years of administrative control. In May 2005, the appeals court reduced the longest sentence to ten years in prison.
[403] National Council for Liberties in Tunisia, communiqué, June 15, 2005.
[404] Middle East Watch (now Human Rights Watch/Middle East and North Africa), "Tunisia: Military Courts that Sentenced Islamist Leaders Violated Fair-Trial Norms," A Human Rights Watch Short Report, vol. 4, no. 9, October 1992 [online] http://hrw.org/reports/pdfs/t/tunisia/tunisia.92o/tunisia920full.pdf.